• Предмет: Математика
  • Автор: temirlankanat08
  • Вопрос задан 2 года назад

28x(x+5)=224 помогите плизз​

Ответы

Ответ дал: kiryoushkatop43
1

Ответ:

3

Пошаговое объяснение:

28 (х+5) = 224

раскроем скобки

28х + 140 = 224

28х= 224-140

28х = 84

х = 3


temirlankanat08: Спасибо)
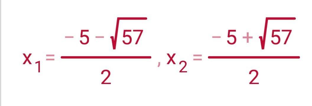
Ответ дал: Annalazutina
0

решено вроде правильно✔

Приложения:
Вас заинтересует