Ответы
Ответ дал:
0
Ответ:
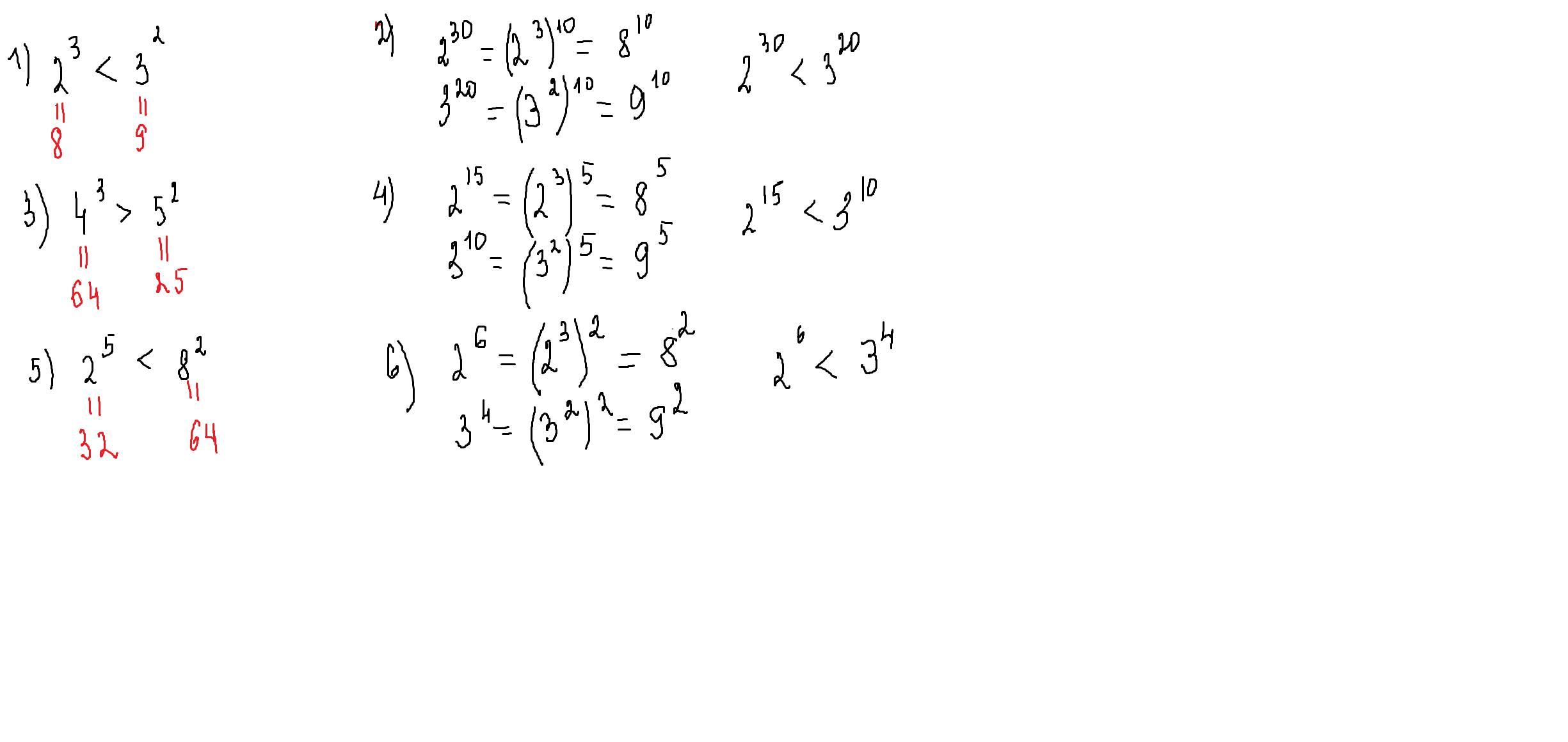
1)первое меньше 2) первое меньше
3)первое больше 4)первое меньше
5)первое меньше 5) первое меньше
Пошаговое объяснение:
Ответ дал:
0
Ответ:
Пошаговое объяснение:
посмотри решение внизу
Приложения:

Вас заинтересует
1 год назад
1 год назад
2 года назад
3 года назад
3 года назад
8 лет назад