• Предмет: Алгебра
  • Автор: andreyyarilov
  • Вопрос задан 2 года назад

Помогите решить уровнения:

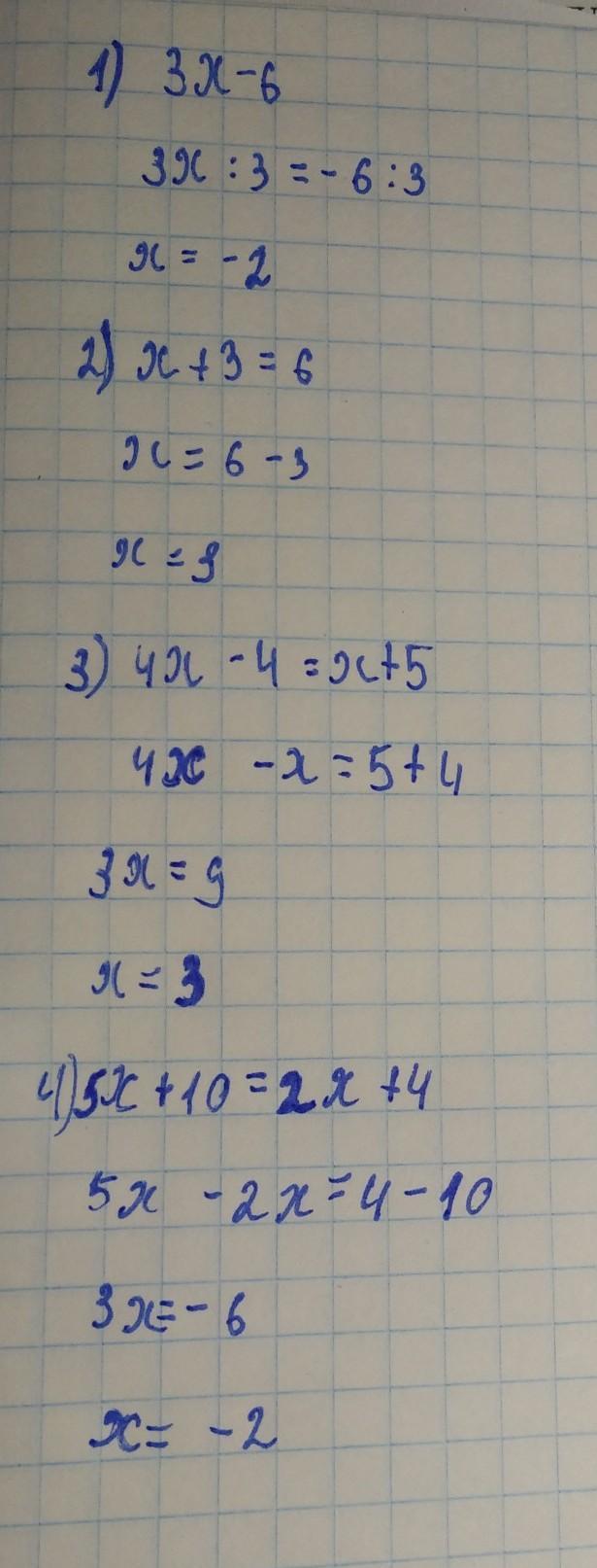
1)3х=-6

2)х+3=6

3)4х-4=х+5

4)5х+10=2х+4

Ответы

Ответ дал: axatar
2

Ответ:

1) x= -2

2) x= 3

3) x= 3

4) x= -2

Объяснение:

1) 3x= -6

x= -6:3= -2

2) x+3=6

x=6-3=3

3) 4x-4=x+5

4x-x=5+4

3x=9

x=9:3=3

4) 5x+10=2x+4

5x-2x=4-10

3x= -6

x= -6:3= -2

Ответ дал: OlyaTsepukh113435
1

Ответ:

.........................Фото...........

Приложения:
Вас заинтересует