Ответы
Ответ дал:
1
Ответ:
Пошаговое объяснение:
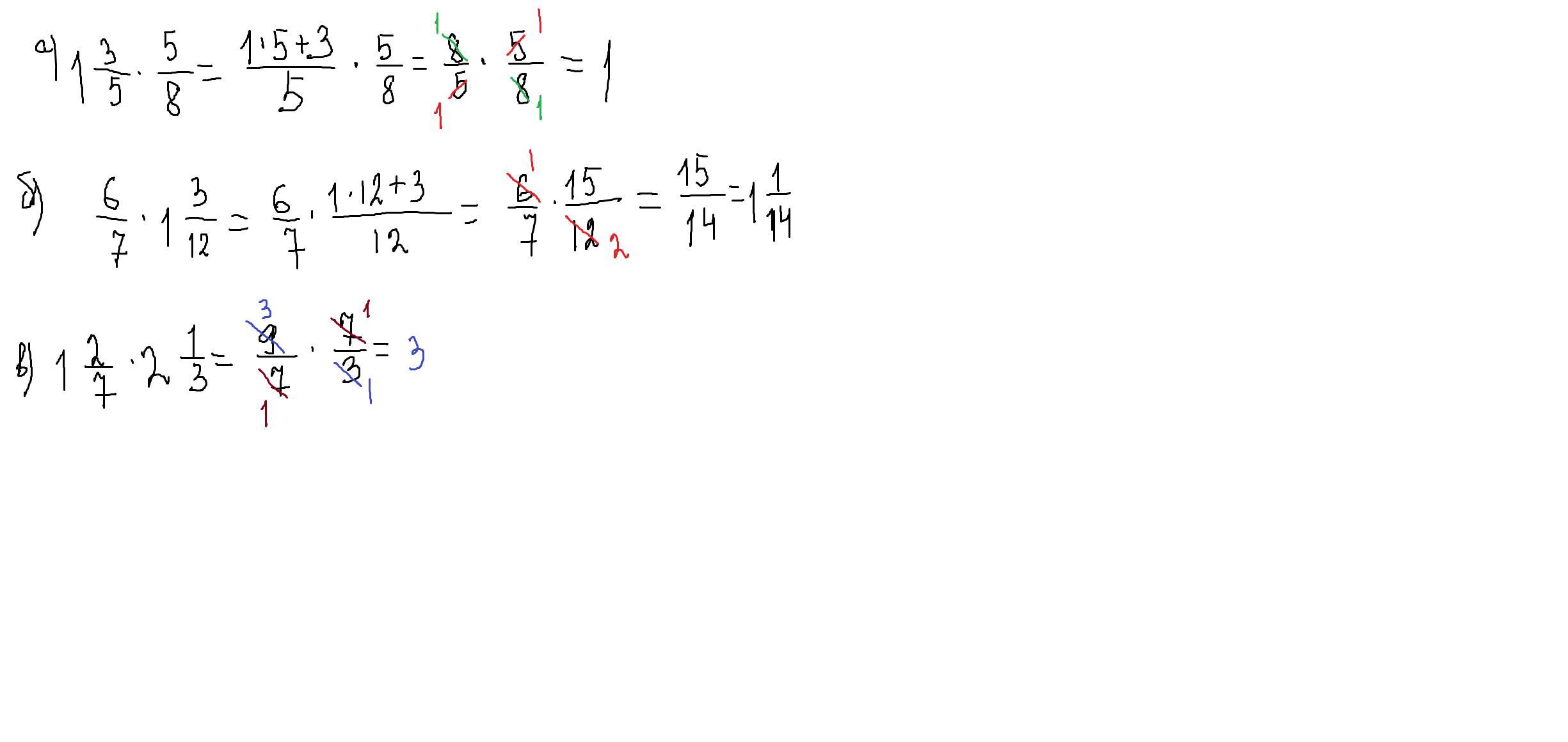
решение смотри внизу
Приложения:

Вас заинтересует
1 год назад
2 года назад
2 года назад
3 года назад
8 лет назад