Ответы
Ответ дал:
0
Объяснение:
Вроде так решается !!!!!!!!!!!
Приложения:
Ответ дал:
0
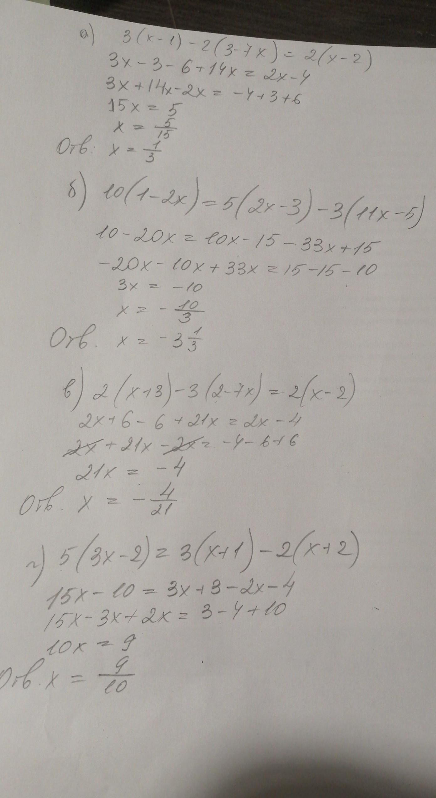
а) 3(х - 1) - 2(3 - 7х)=2(х - 2)
3х - 3 - 6 + 14х=2х - 4
17х - 2х= - 4 + 3 + 6
15х=5
х=3
Ответ: х=3.
б) 10(1 - 2х)=5(2х - 3) - 3(11х - 5)
10 - 20х=10х - 15 - 33х + 15
- 20х + 23х= - 10
3х= - 10
х= - 3 1/3.
Ответ: х= - 3 1/3.
в) 2(х+3) - 3(2 - 7х)=2(х - 2)
2х + 6 - 6 + 21х=2х - 4
23х - 2х= - 4
21х= - 4
х= - 4/21
Ответ: х= - 4/21.
г)5(3х - 2)=3(х + 1) - 2(х + 2)
15х - 10=3х + 3 - 2х - 4
15х - х= - 1 + 10
14х=9
х=9/14
Ответ: х=9/14.
3х - 3 - 6 + 14х=2х - 4
17х - 2х= - 4 + 3 + 6
15х=5
х=3
Ответ: х=3.
б) 10(1 - 2х)=5(2х - 3) - 3(11х - 5)
10 - 20х=10х - 15 - 33х + 15
- 20х + 23х= - 10
3х= - 10
х= - 3 1/3.
Ответ: х= - 3 1/3.
в) 2(х+3) - 3(2 - 7х)=2(х - 2)
2х + 6 - 6 + 21х=2х - 4
23х - 2х= - 4
21х= - 4
х= - 4/21
Ответ: х= - 4/21.
г)5(3х - 2)=3(х + 1) - 2(х + 2)
15х - 10=3х + 3 - 2х - 4
15х - х= - 1 + 10
14х=9
х=9/14
Ответ: х=9/14.
прмкв:
В 1: 1/3
Вас заинтересует
2 года назад
2 года назад
2 года назад
2 года назад
3 года назад
3 года назад
9 лет назад