• Предмет: Математика
  • Автор: konogovasvetlana
  • Вопрос задан 2 года назад

Не понимаю даже по какому принципу решать, срочно помогите пожалуйста

Приложения:

Ответы

Ответ дал: darkmath987
0

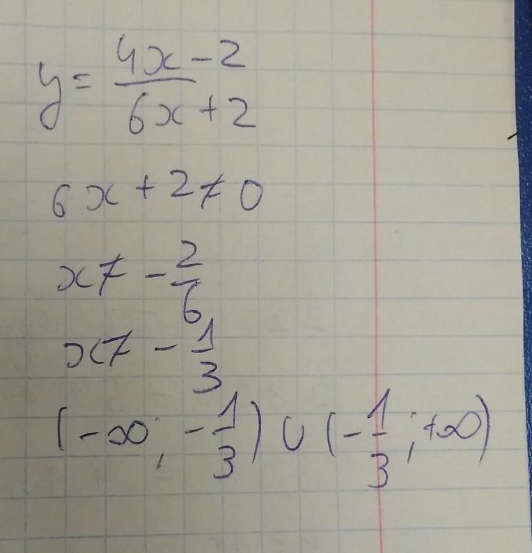
Смотри решение во вложении.

Приложения:

konogovasvetlana: Спасибо большое, но я случайно прикрепила не то... То, что вы написали я и так знаю как решать
darkmath987: Решил другое
konogovasvetlana: Спасибо
Вас заинтересует