Ответы
Ответ дал:
0
Ответ:
..................................
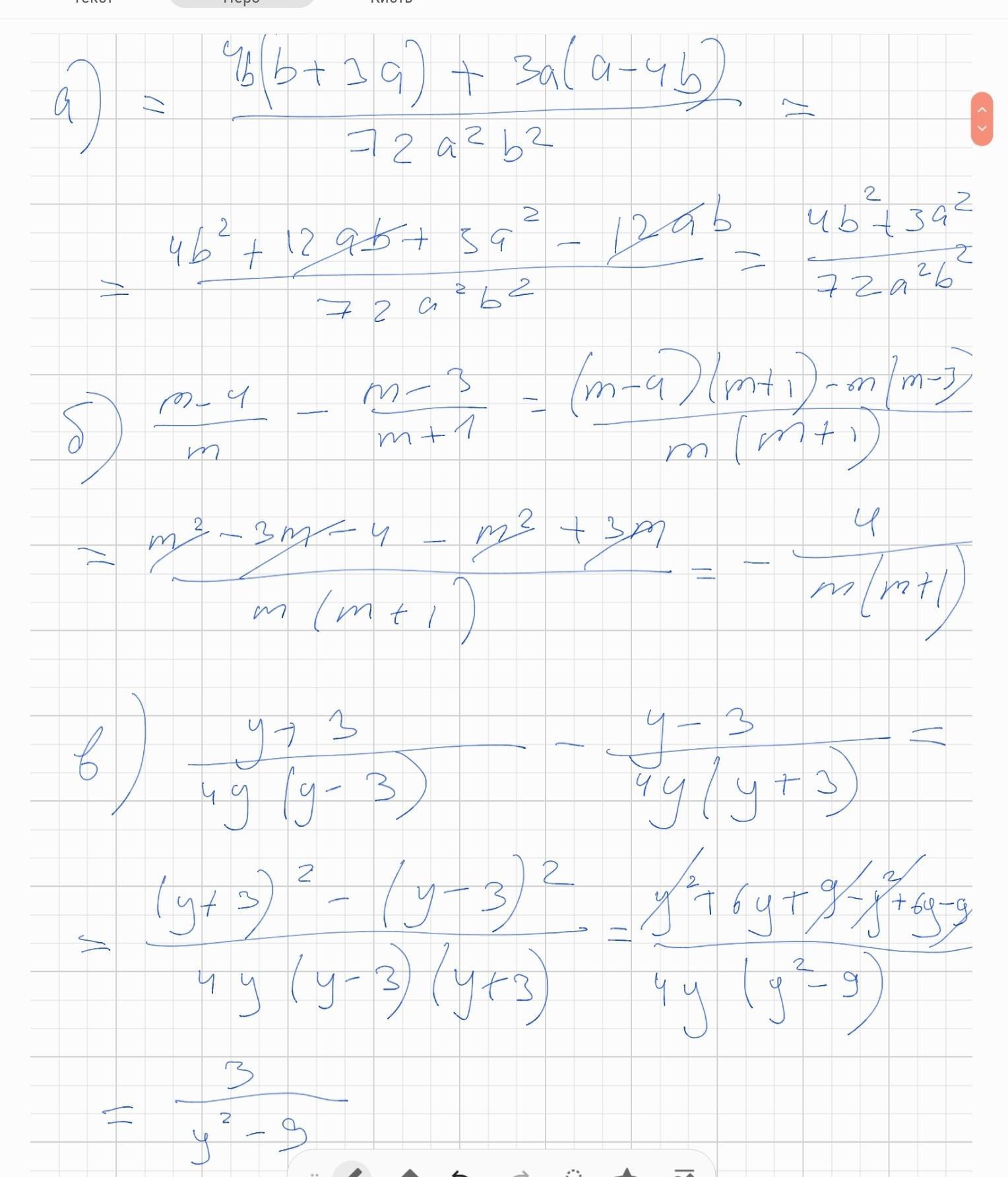
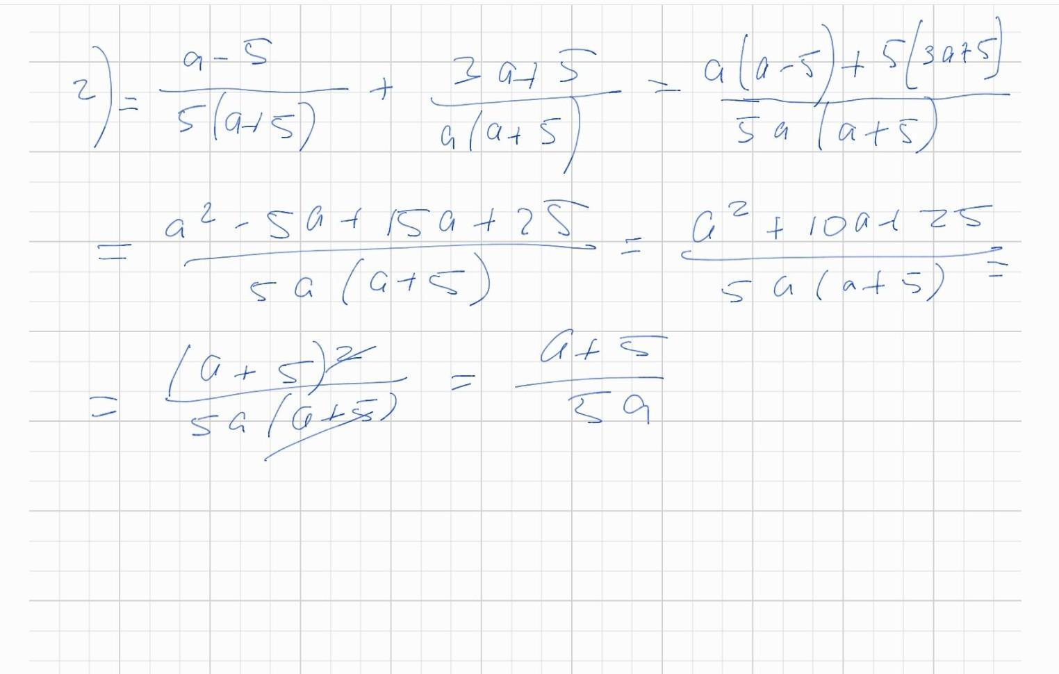
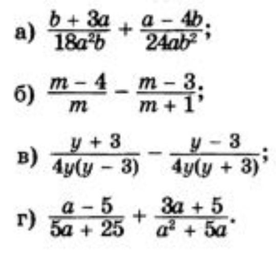
Приложения:


Вас заинтересует
1 год назад
1 год назад
2 года назад
2 года назад
3 года назад
3 года назад
8 лет назад
8 лет назад