• Предмет: Алгебра
  • Автор: artemiy17012003
  • Вопрос задан 2 года назад

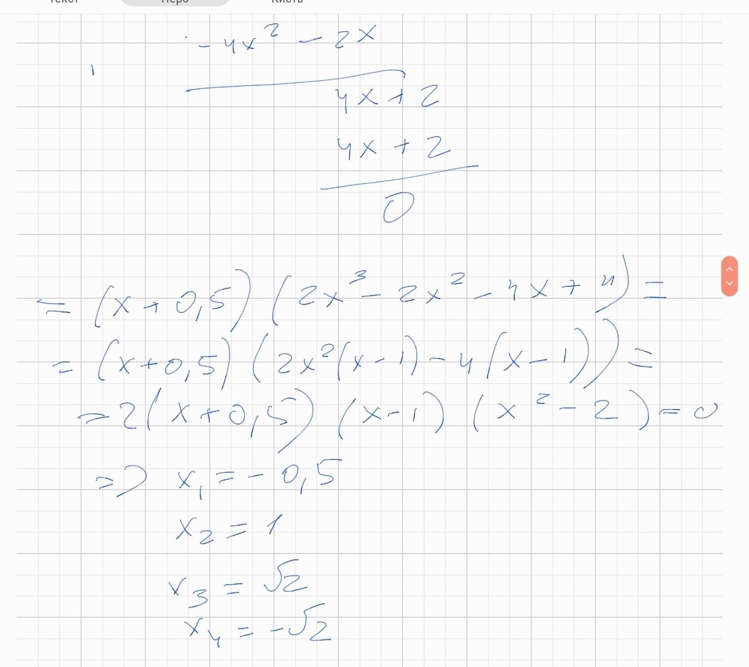
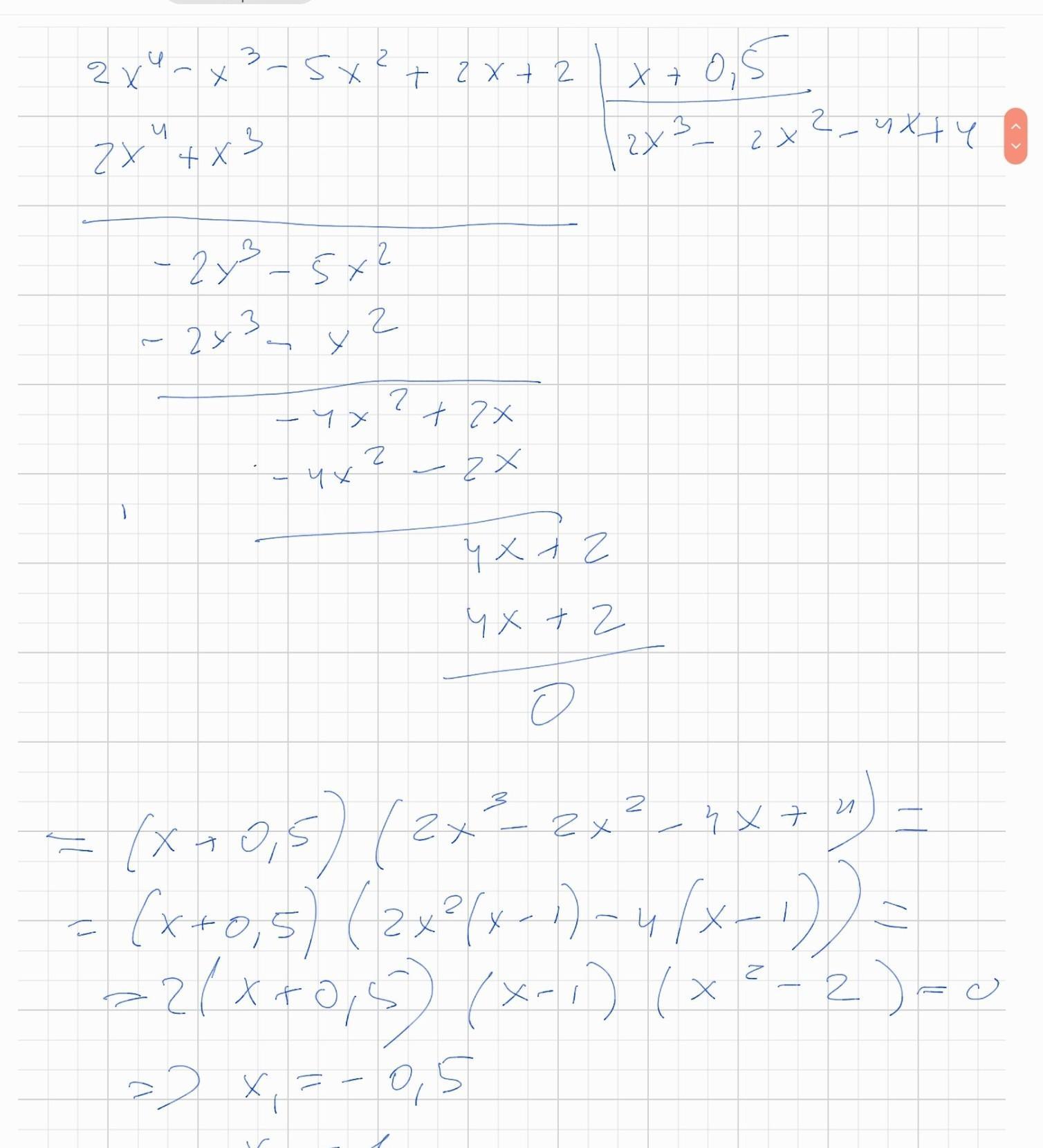
Решить уравнение, если известен один из его корней

2x⁴-x³-5x²+2x+2=0, x1=-1/2​

Ответы

Ответ дал: rusfiz
0

Ответ:

.......................................

Приложения:
Вас заинтересует