Ответы
Ответ дал:
1
Ответ:
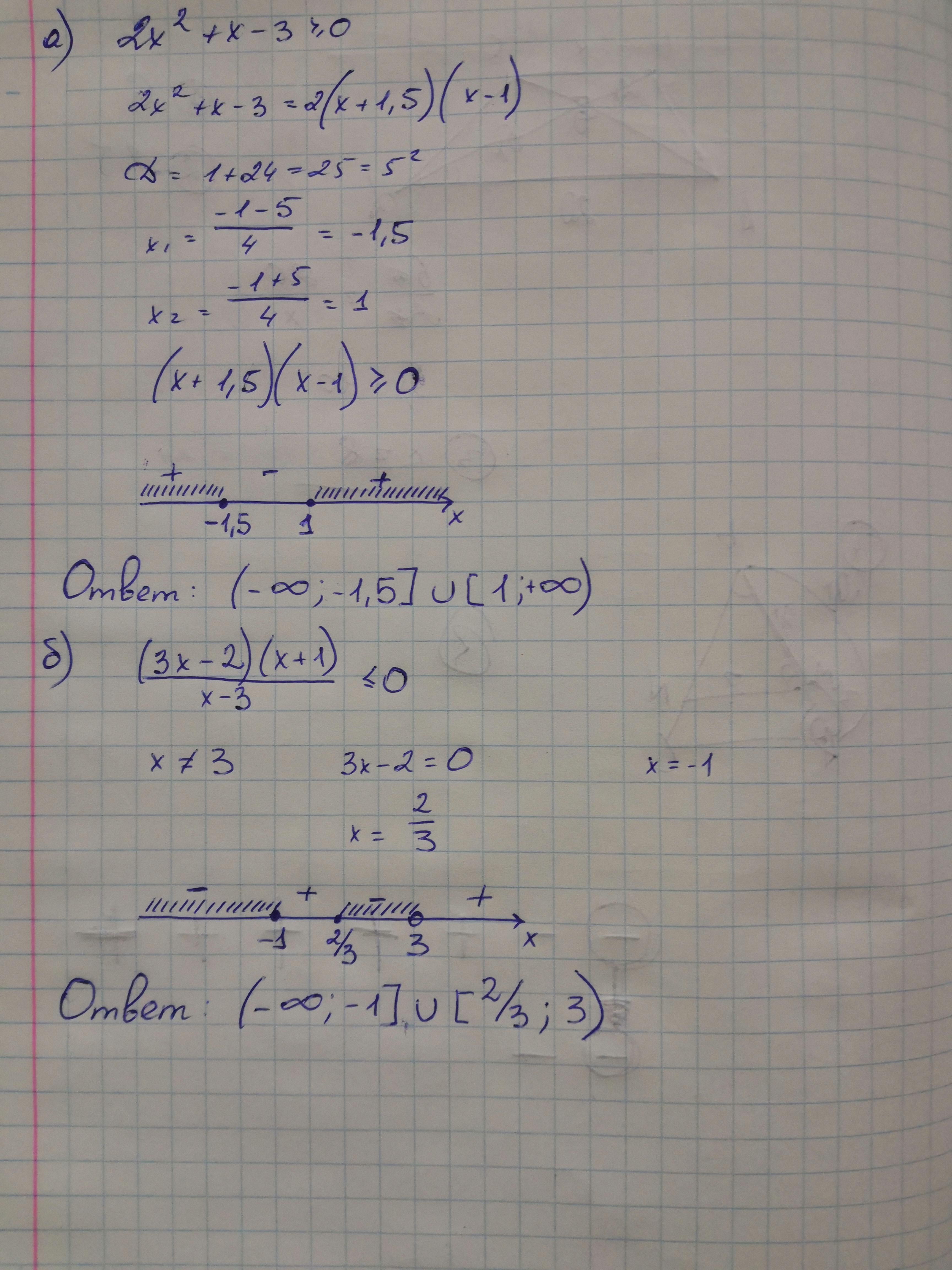
а) (-∞; -1,5] ∪ [1; +∞)
б) (-∞; -1] ∪ [2/3; 3)
Обрати внимание, что 3 с круглой скобкой. Ее нельзя включать, чтобы не получилось, что мы делим на 0.
Объяснение:
Когда решаешь неравенства, первое что надо сделать - разбить его на множители, это позволит быстро считать, какой знак применяет уравнение в том или ином диапазоне.
Приложения:

Вас заинтересует
1 год назад
1 год назад
2 года назад
2 года назад
3 года назад
3 года назад
8 лет назад