• Предмет: Алгебра
  • Автор: valeriashturmina
  • Вопрос задан 2 года назад

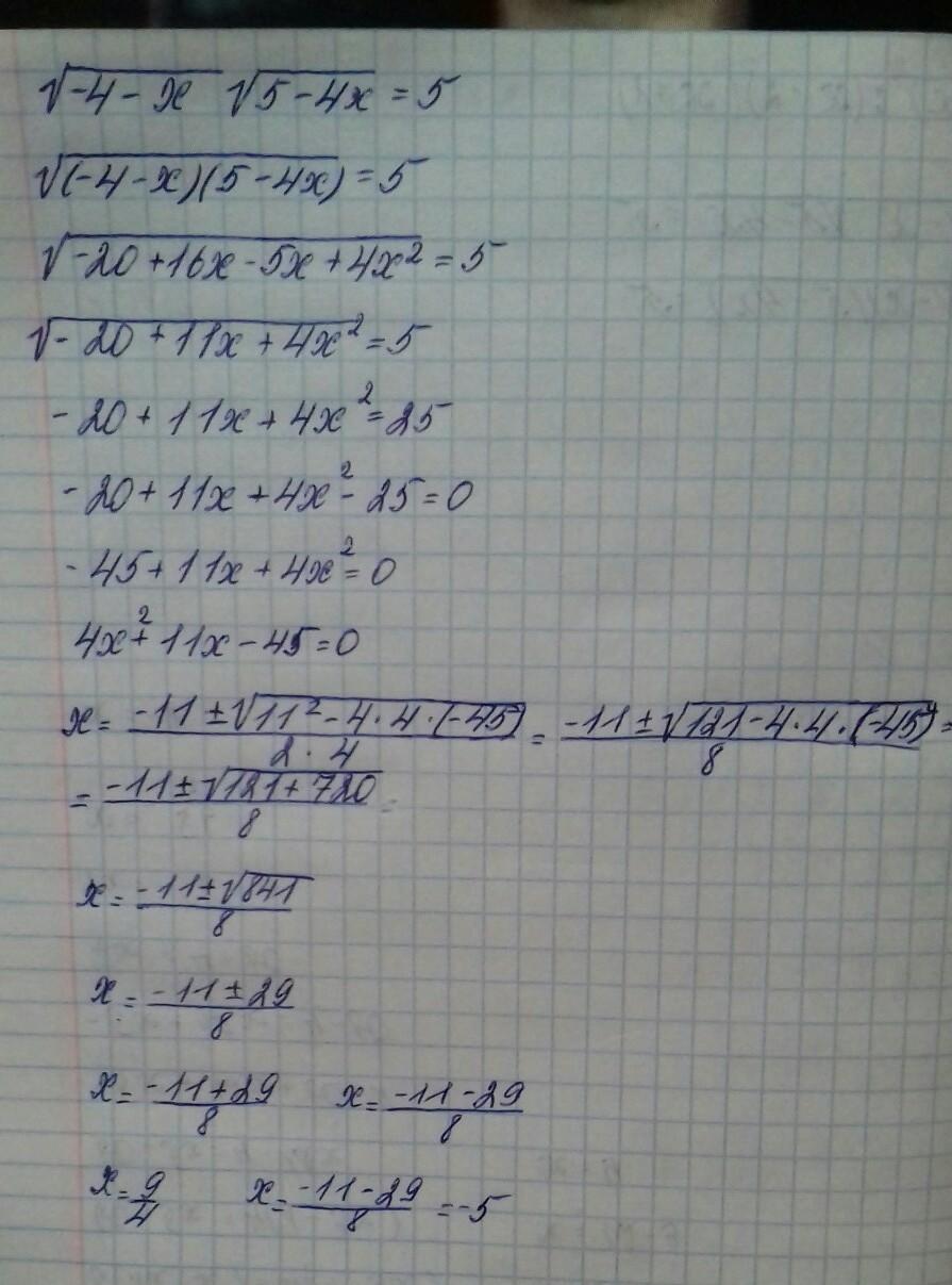
Плиииз срочнооо 6,7,8

Приложения:

Ответы

Ответ дал: keinelust1
0

Ответ:

только д5.8 и д5.6

.........

Приложения:
Вас заинтересует