• Предмет: Алгебра
  • Автор: Аноним
  • Вопрос задан 2 года назад

30 баллов Помогите решить эти уравнения с помощью пропорций

Приложения:

Ответы

Ответ дал: Regent1828
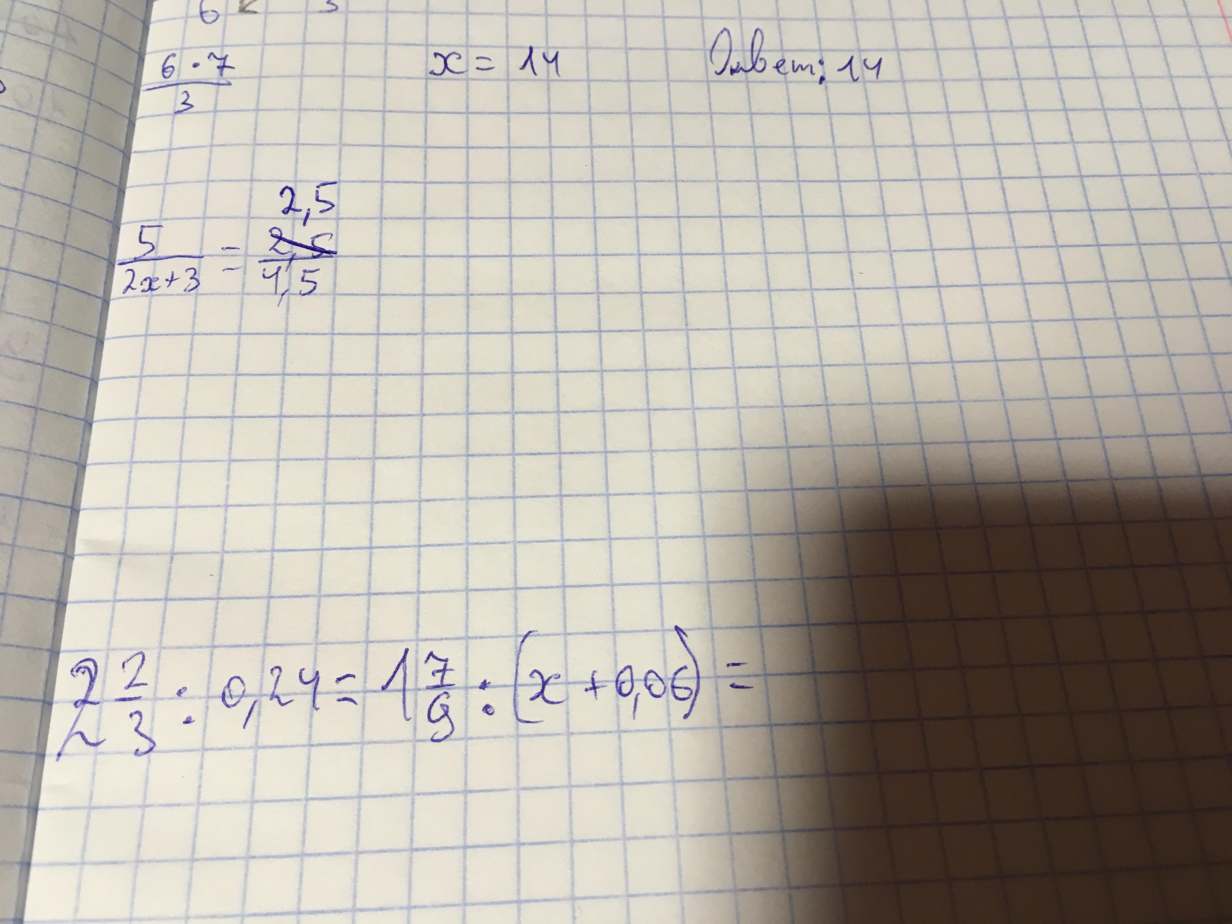
1

\displaystyle \tt 2\frac{2}{3}:0,24=1\frac{7}{9}:(x+0,06)\\\\\\2\frac{2}{3}\cdot(x+0,06)=0,24\cdot1\frac{7}{9} \ \ \ \ \ \ \ \ \ | \ \cdot9\\\\24\cdot(x+0,06)=0,24\cdot16 \ \ \ \ \ \ \ \ \ \  | \ :8\\\\3x+0,18=0,24\cdot2\\\\3x=0,48-0,18\\\\x=0,3:3\\\\x=0,1

Ответ: {0,1}

\displaystyle \tt  \frac{5}{2x+3}=\frac{2,5}{4,5}\\\\5\cdot4,5=2,5\cdot(2x+3) \ \ \ \ \ \ \ \ \ | \ :2,5\\\\9=2x+3\\\\2x=6\\\\x=3

Ответ: {3}


Аноним: А можно еще который сверху?, тогда спасибо точно будет))) прошу
Regent1828: Да. Сейчас.
Аноним: Спасибо
Regent1828: Да не за что..))
Вас заинтересует