• Предмет: Алгебра
  • Автор: fyvrov
  • Вопрос задан 2 года назад

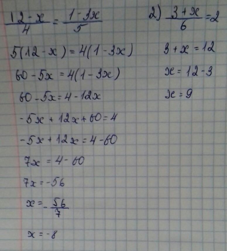
решите пожалуйста!!!

Приложения:

Ответы

Ответ дал: keinelust1
0

Ответ:

.............................

Приложения:
Вас заинтересует