• Предмет: Алгебра
  • Автор: xemul
  • Вопрос задан 11 лет назад

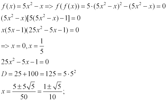
как решать такое уравнение  f(f(x))=0, где f(x)=5x^2-x

Ответы

Ответ дал: Tangodown
0
Проверь на всякий случай.
Приложения:
Вас заинтересует