• Предмет: Физика
  • Автор: misternabiulli
  • Вопрос задан 2 года назад

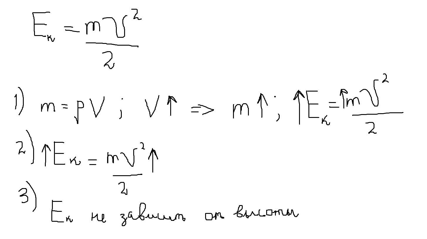
Каким из способов можно увеличить кинетическую энергию?
увеличить объём тела
увеличить скорость тела
увеличить высоту

Ответы

Ответ дал: kertz
1

Ответ:

Объяснение:

Смотри в приложении

Приложения:
Ответ дал: Amigo3
2

Ответ: увеличить скорость тела. Кинетическая энергия зависит от массы тела и его скорости.

Объяснение:

Вас заинтересует