УМОЛЯЮ!!!СПАСИТЕ ЖИЗНЬ ЧЕЛОВЕКУ)))СТРОЕНИЕ И КЛАСИФИКАЦИЯ ОРГАНИЧЕСКИХ СОЕДИНЕНИЙ!!!!
ЗАВТРА КОНТРОЛЬНАЯ ПО ХИМИИ!!ЭТО СРОЧНО!!!!!!ОТВЕТЫ НАЙТИ НЕ МОГУ(((ПОМОГИТЕ!
так, я находила то в интернете вопросы, но не ответы.
Приложения:


Ответы
Ответ дал:
0
Первая часть
1. В
2. Б
3. А
4.
5. Непонятный вопрос, возможно там сместился он. Но если вопрос про функциональную группу ch(o), то это пльдегид (А)
6.в
7. Г
8. А
9.
10. А
11. 1762
Ответ дал:
0
Ответ:
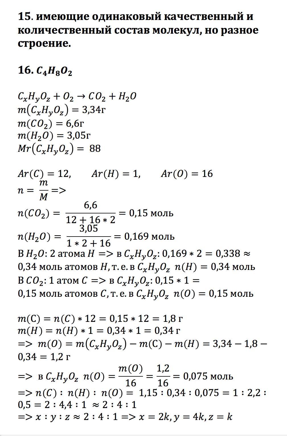
Ответ в приложенных файлах
Объяснение:
Приложения:





Вас заинтересует
1 год назад
1 год назад
2 года назад
3 года назад
3 года назад