Решите пожалуйста очень срочно надо
Приложения:

Хуqожнuк:
Доброго дня. Подскажите формулировку задания
Ответы
Ответ дал:
0
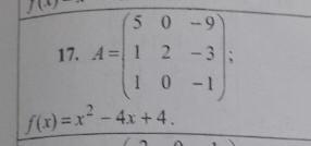
Решение во вложении.
Приложения:

Вас заинтересует
2 года назад
2 года назад
3 года назад
3 года назад
8 лет назад
8 лет назад