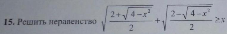
решить неравенство.......................................................................
Приложения:

Ответы
Ответ дал:
1
ОДЗ неравенства
Возводим обе части неравенства до квадрата, получим
С учетом ОДЗ: x ∈ [-2;2].
Ответ: x ∈ [-2;2].
Аноним:
Благодарю
Ответ дал:
1
Воспользуемся формулой сложного корня:
все подкоренные выражения неотрицательны.
Если то получим
Вас заинтересует
1 год назад
1 год назад
2 года назад
2 года назад
3 года назад
3 года назад
8 лет назад