• Предмет: Алгебра
  • Автор: dasha5170
  • Вопрос задан 2 года назад

решите пожалуйста алгебра 8 класс​

Приложения:

Ответы

Ответ дал: artemevaan
1

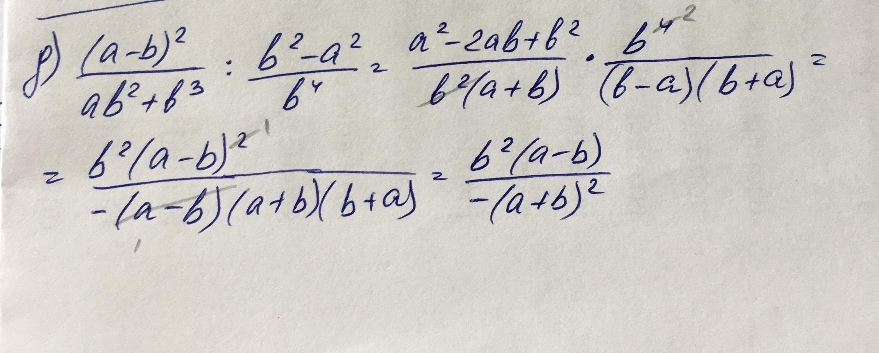
Решение во вложение.    

Приложения:
Вас заинтересует