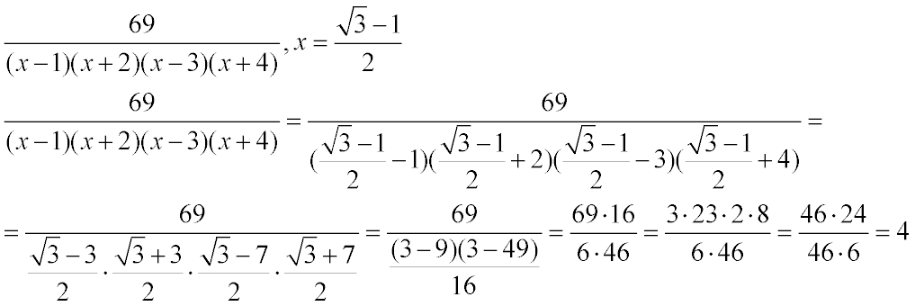
Пожалуйста помогите,вообще не понимаю!!!Выполните указанную подстановку и вычислите: 69/(х-1)(х+2)(х-3)(х+4),если х=корень из 3-1(минус один уже не под корнем)/2
Ответы
Ответ дал:
0
Проверь на всякий случай.
Приложения:

Вас заинтересует
2 года назад
2 года назад
8 лет назад
10 лет назад
10 лет назад
10 лет назад