• Предмет: Алгебра
  • Автор: Shaakiraa
  • Вопрос задан 2 года назад

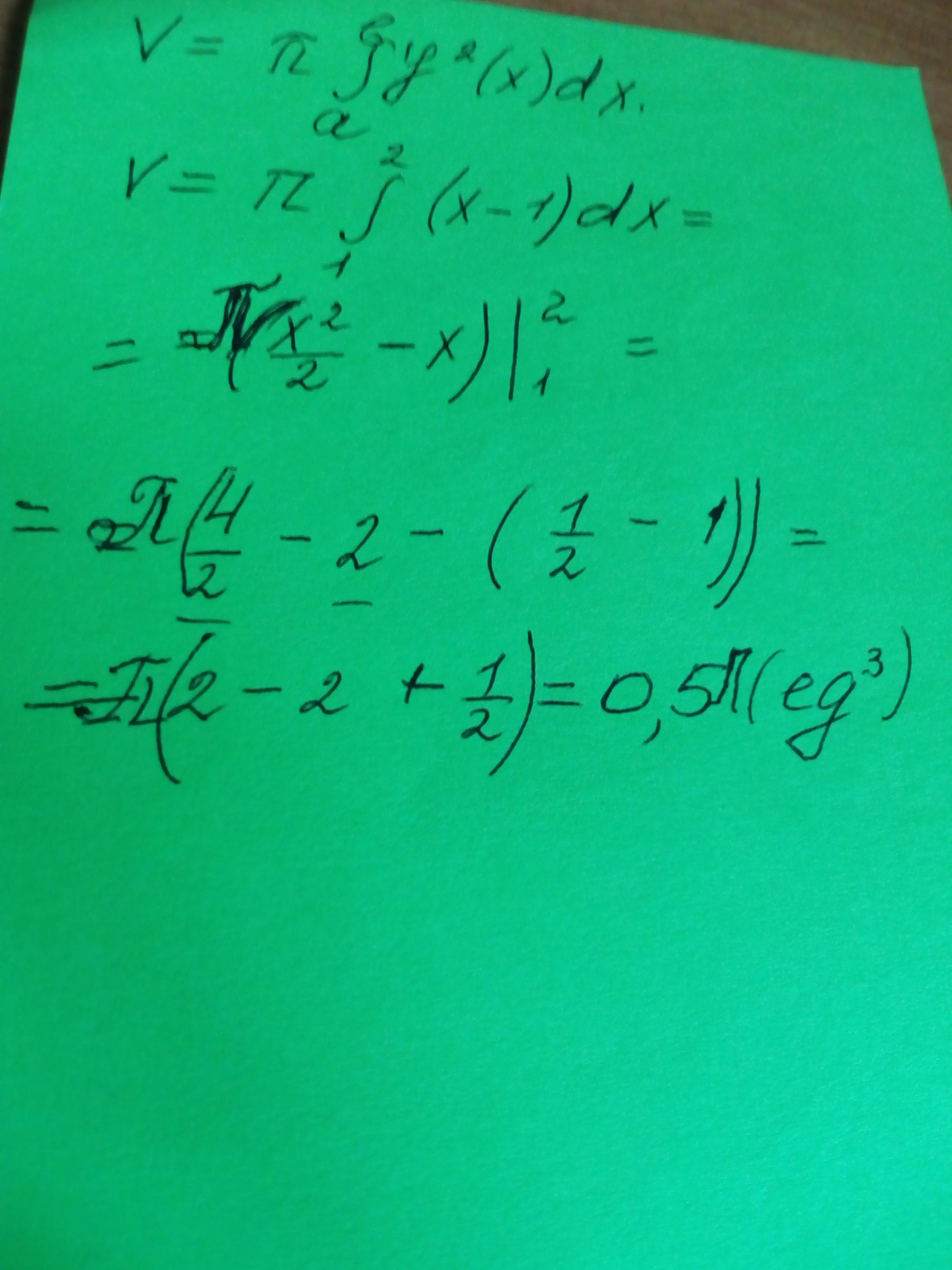
Найти объем тела, полученного при вращении вокруг оси абцисс фигуры, ограниченной линиями:
y^2-x+1=0 x-2=0 y=0

Ответы

Ответ дал: NNNLLL54
0

y^2-x+1=0\; \; \; \to \; \; \; y^2=x-1\; \; ,\; \; y=\pm \sqrt{x-1}\; ,\\\\x-2=0\; \; \to \; \; x=2\; ,\\\\y=0\; ,\\\\V=\pi \int\limits^a_b\, f^2(x)\, dx =\pi \int\limits^2_1\, (x-1)\, dx=\pi \cdot \frac{(x-1)^2}{2}\Big |_1^2=\\\\=\frac{\pi }{2}\cdot \Big ((2-1)^2-(1-1)^2\Big )=\frac{\pi }{2}\cdot (1-0)=\frac{\pi}{2}

Приложения:
Ответ дал: Аноним
0

Выразим х через у из формулы  линии y²-x+1=0; у²(х)=(х-1); х= y²+1         Если у=0, то х=1, если же х-2=0, то х=2, пределы интегрирования 1 и 2.

Ищем объем тела по формуле /см. вложение /

Приложения:
Вас заинтересует