• Предмет: Алгебра
  • Автор: eevavesnaa
  • Вопрос задан 2 года назад

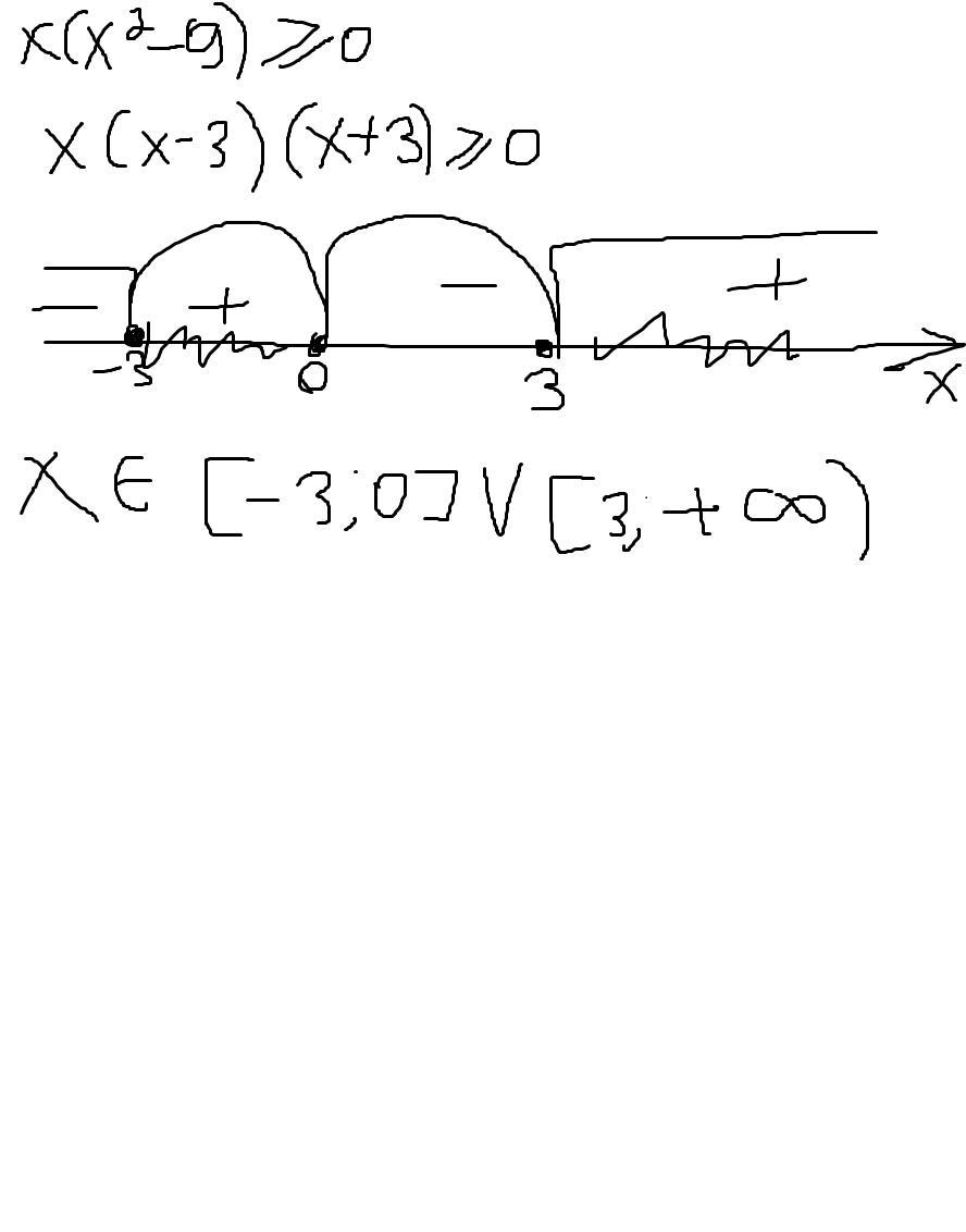
При каких значениях X имеет смысл выражение?
 \sqrt{x(x {  }^{2}  - 9)}

Ответы

Ответ дал: kdjdn25
1

Выражение имеет смысл ,когда выражение под корнем больше или равно нуля ,тогда получаем(решение во вложении) .

Приложения:

eevavesnaa: спасибо большое храни тебя господь
Вас заинтересует