• Предмет: Алгебра
  • Автор: Lizogg
  • Вопрос задан 2 года назад

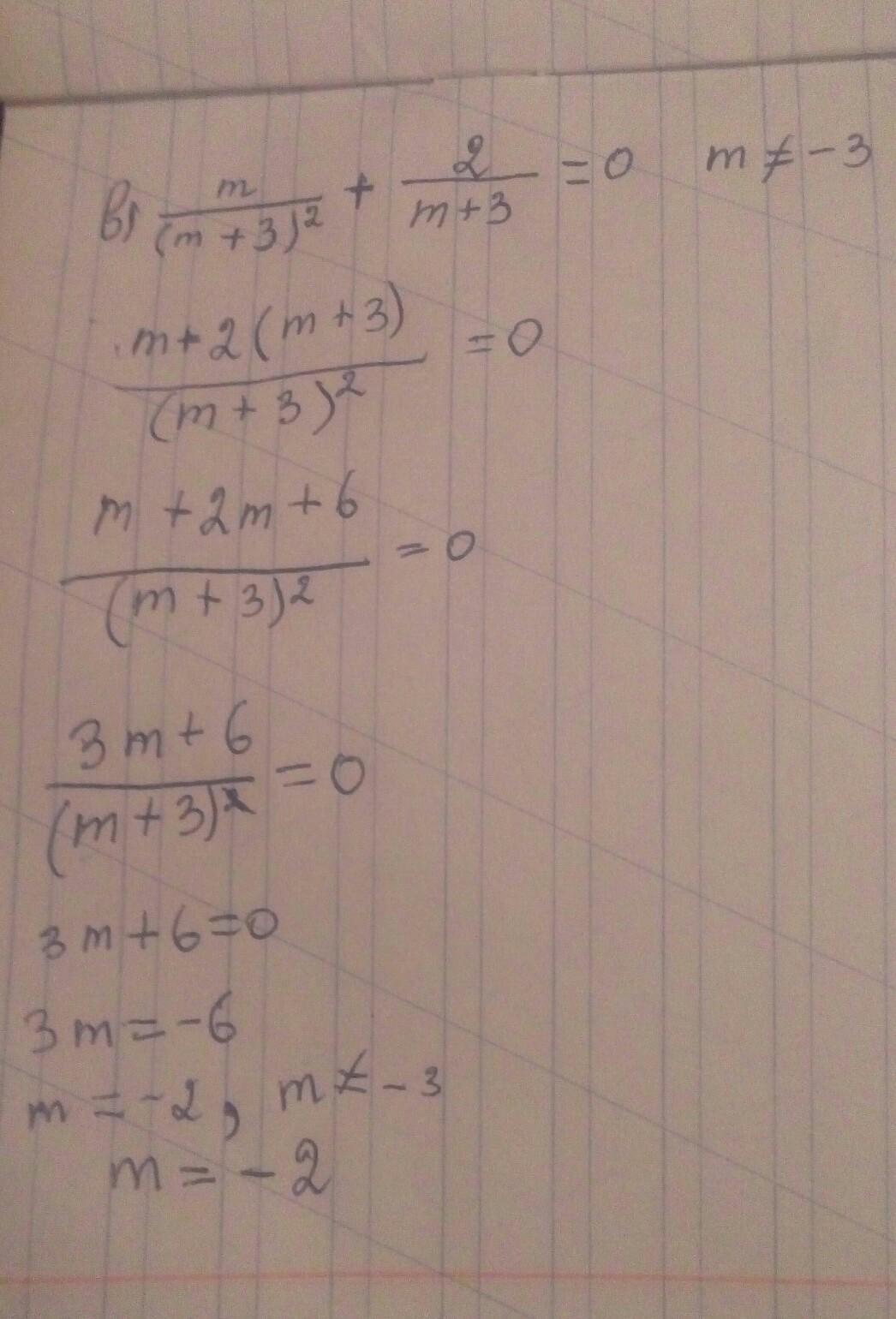
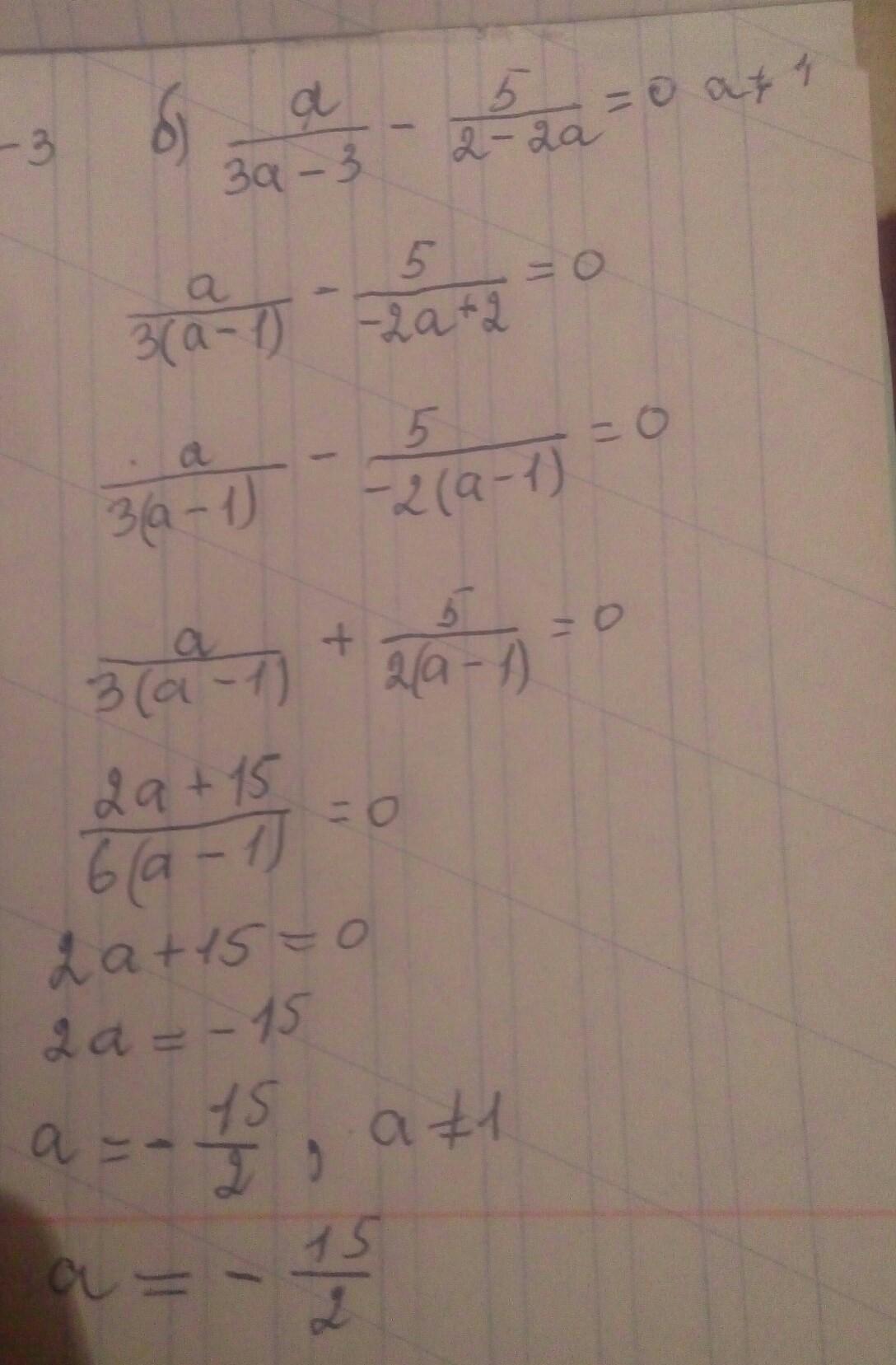
Помогите пожалуйста решить Б и В, срочно!

Приложения:

Ответы

Ответ дал: vazirhanovkurban
1

Объяснение:

.............вот как-то так

Приложения:
Вас заинтересует