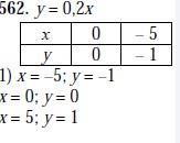
построить график функции заданной формулой y равен 0,2 x найти по графику значение Y соответствующее значению X равному -5,0,5
bts6999:
пожалуйста помогите ребята
Ответы
Ответ дал:
10
Ответ:
///////////////////////////////////////////////
Объяснение:
Приложения:


Вас заинтересует
1 год назад
1 год назад
2 года назад
2 года назад
3 года назад
3 года назад
8 лет назад
8 лет назад