• Предмет: Математика
  • Автор: igorxramov2002oy4xgs
  • Вопрос задан 2 года назад

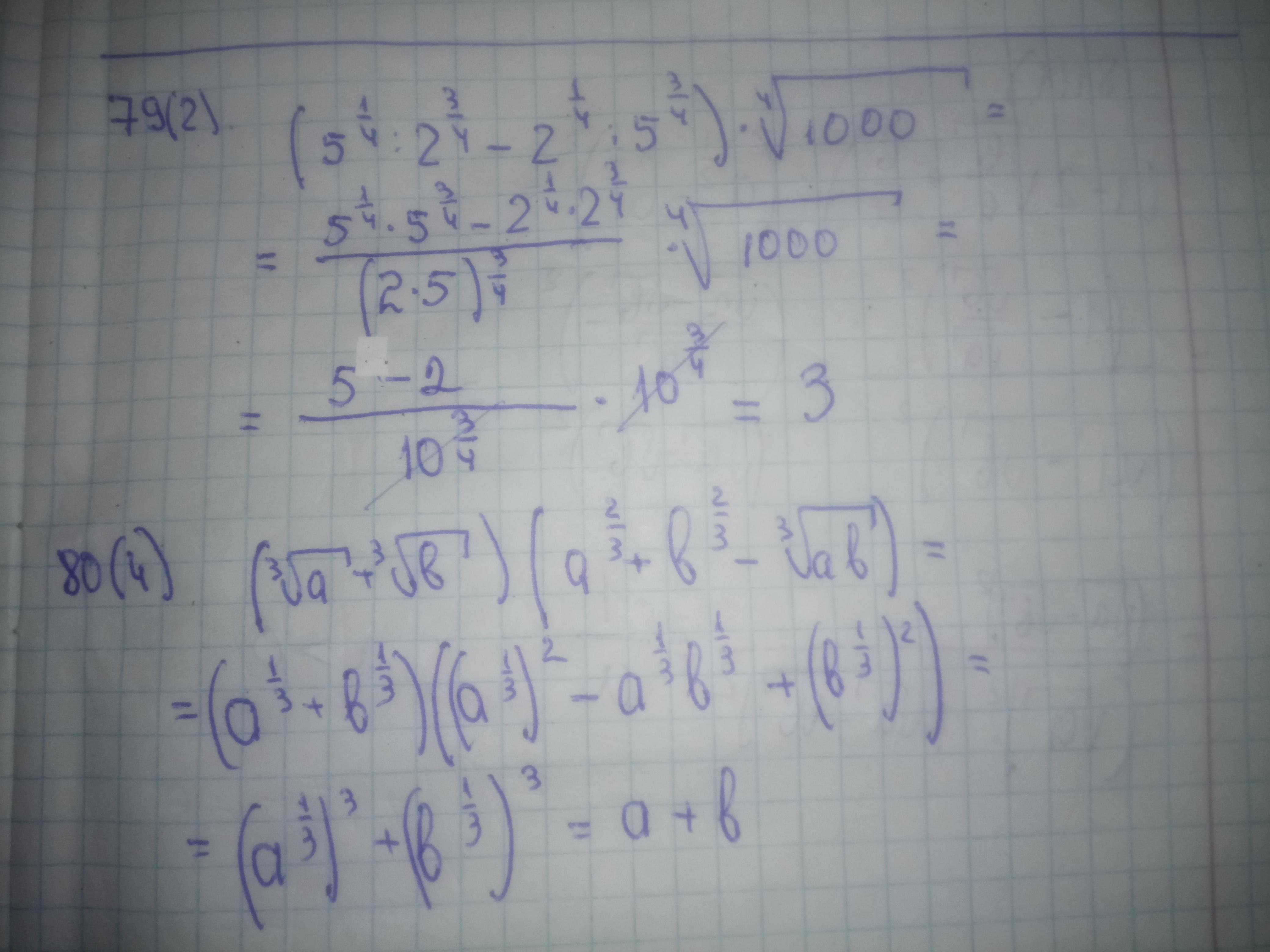
79(2),80(4),81(1) . Помогите пожалуйста решить с объяснениями . Заранее спасибо .

Приложения:

Ответы

Ответ дал: Аноним
0

Решение задания приложено

Приложения:
Вас заинтересует