• Предмет: Математика
  • Автор: gora1511v
  • Вопрос задан 2 года назад

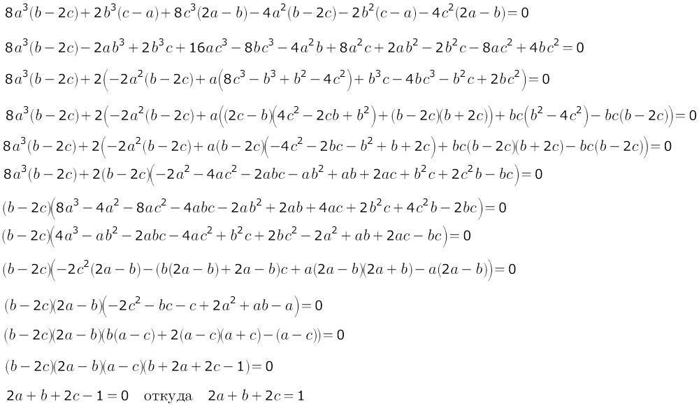
Учитель математики дал домашнее задание на выходные. Во вторник уже алгебра. Решите, пожалуйста, эту задачу : a,b,c - нечётные. Какое максимальное значение может принимать выражение 2a+b+2c, если
8a^{3} (b-2c)+2b^{3} (c-a)+8c^{3} (2a-b)=4a^{2} (b-2c)+2b^{2} (c-a)+4c^{2} (2a-b)


Аноним: Ответ есть? У меня вышло 1.
gora1511v: ответа нет. Хотелось бы взглянуть на решение.

Ответы

Ответ дал: Аноним
2

Ответ: 1.

Пошаговое объяснение:

Приложения:
Вас заинтересует