Ответы
Ответ дал:
1
Ответ:
Объяснение:
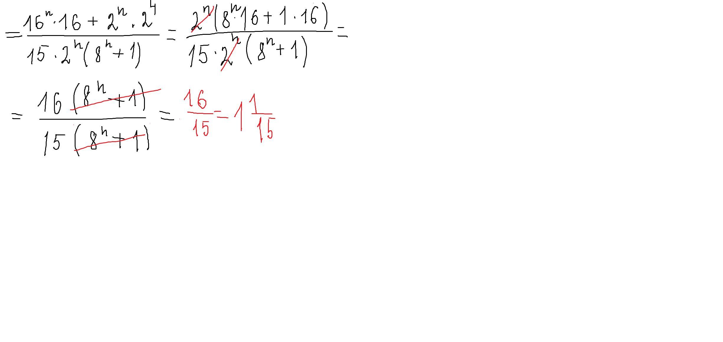
решение смотри внизу.При решении получаем ответ,который не содержит переменную,значит значение выражения яв-ся числом и не зависит от переменной.
Приложения:

Вас заинтересует
1 год назад
2 года назад
2 года назад
3 года назад
3 года назад
8 лет назад
8 лет назад