• Предмет: Алгебра
  • Автор: hullinwy
  • Вопрос задан 2 года назад

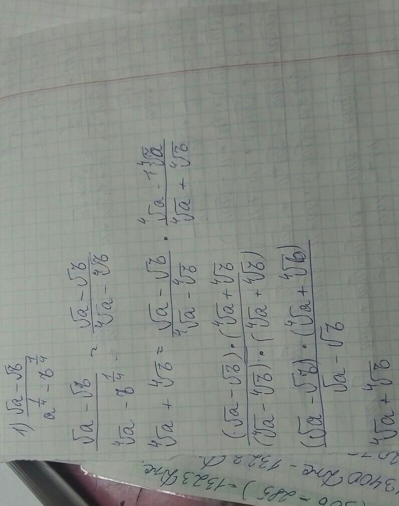
Пожалуйста решите 66 задание прошуууу

Приложения:

Ответы

Ответ дал: maksinavioletta43
1

вот, 3 я не смогла .......

Приложения:
Вас заинтересует