• Предмет: Алгебра
  • Автор: froooog94
  • Вопрос задан 2 года назад

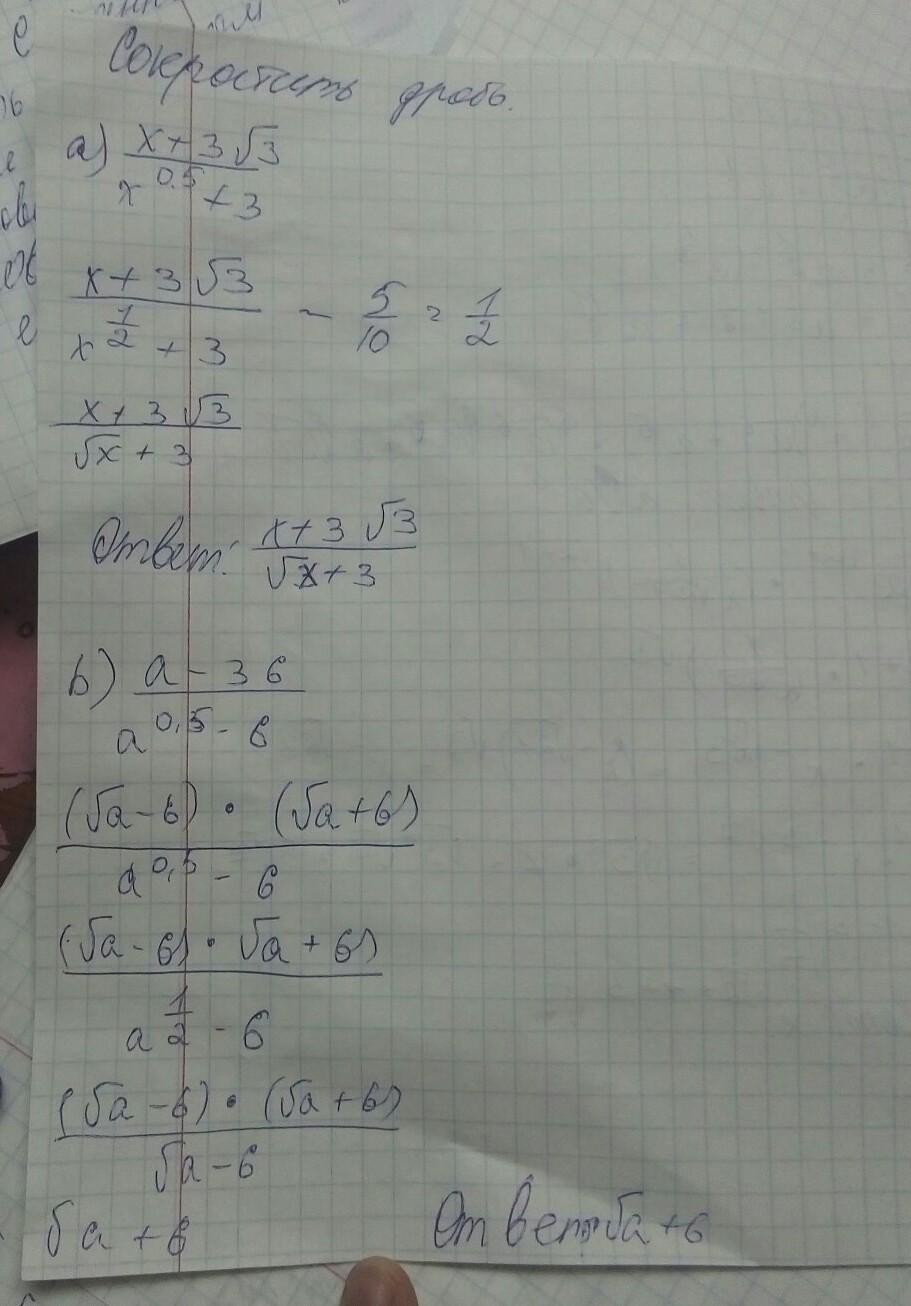
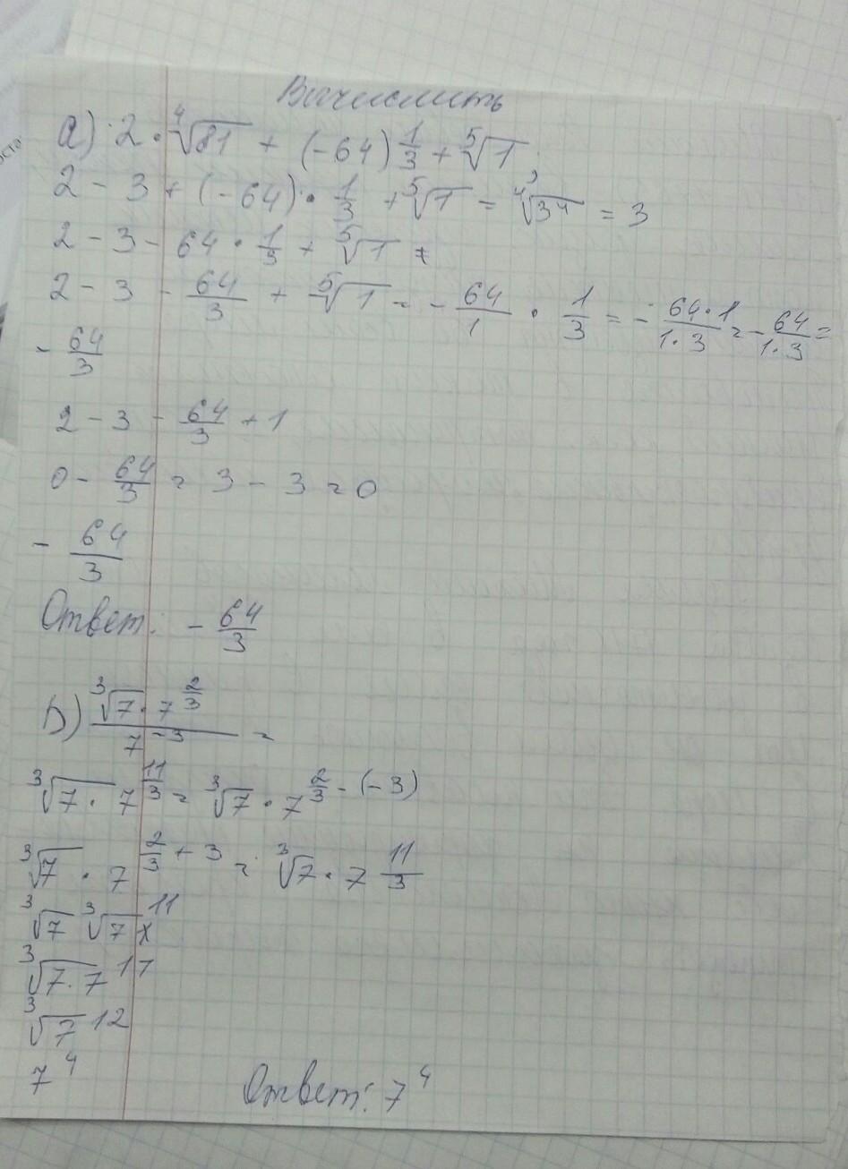
Решите,пожалуйста,1 и 2 задание

Приложения:

Ответы

Ответ дал: maksinavioletta43
1

вот сделала..... ......

Приложения:
Вас заинтересует