• Предмет: Математика
  • Автор: flex225
  • Вопрос задан 2 года назад

помогите пожалуйста решить,нужно решение и ответ ,алгебра 8 класс.​

Приложения:

jekadva: = 7

Ответы

Ответ дал: maylytail
1

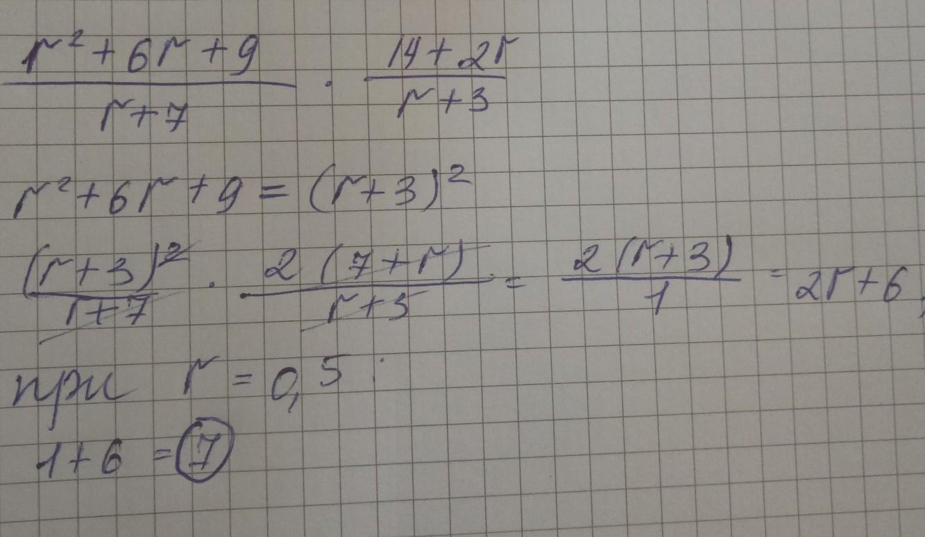
Значение выражения равно 7.

Приложения:

flex225: спасибо огромное,очень выручил(а),спасибо!!!
Аноним: выручила***
Вас заинтересует