• Предмет: Алгебра
  • Автор: pand53
  • Вопрос задан 2 года назад

Пожалуйста помогите решить!
С пояснениями ​

Приложения:

Ответы

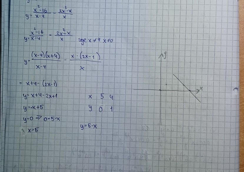
Ответ дал: masha150505
1

Объяснение:

сначала раскрываем формулу в знаменателе и выносим общий множитель, сокращаем и дорешиваем уравнение, и выводим х,

строим таблицу где ищем х по формуле

Приложения:

pand53: спасибо большое
masha150505: не за что)
Вас заинтересует