• Предмет: Алгебра
  • Автор: tamara150187
  • Вопрос задан 2 года назад

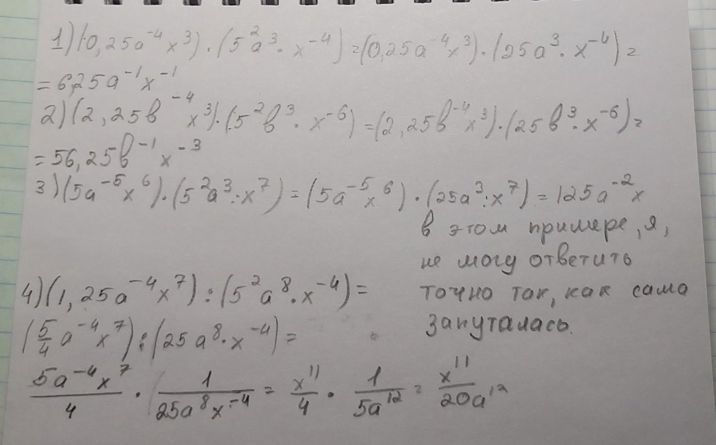
Памогите пажалусто с алгеброй номер 9.9

Приложения:

Ответы

Ответ дал: MiraiBlood
5

Надеюсь правильно. :)

Приложения:

Kvaso4ek: в 3) примере X^-1 в ответе , в 4) Ответ 0,05a^-12*x^11 там просто показатели степеней отнимаешь
MiraiBlood: ясно, я это учту
Вас заинтересует