Ответы
Ответ дал:
1
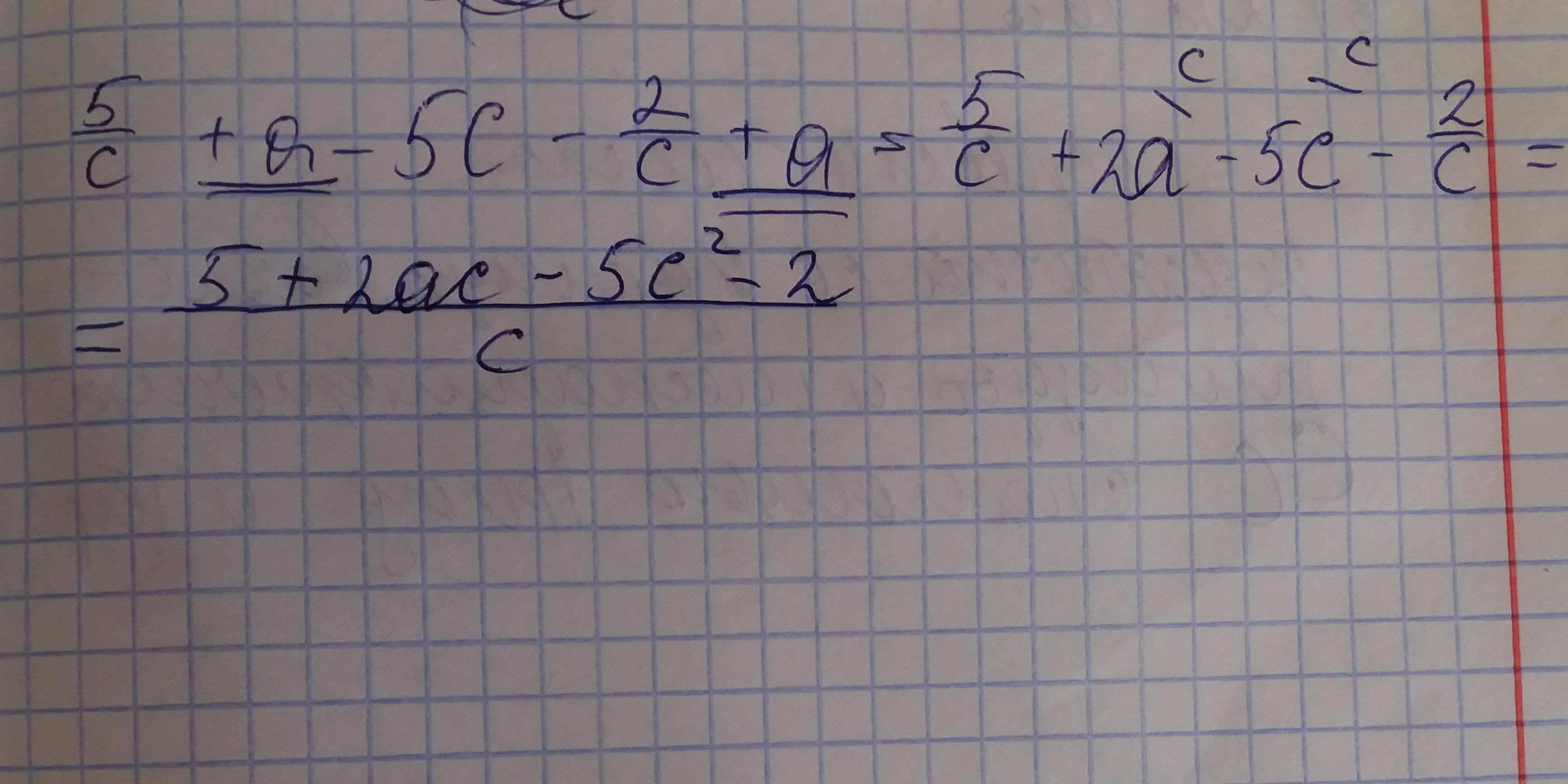
Решение на картинке:
Приложения:

Ответ дал:
0
Ответ:
(5a + 2a^2 - 5ac^2 - 2c)/ac
Объяснение:
Изначально
5/с + а - 5с - 2/а + а
1) Привести подобные члены
5/с + 2а - 5с - 2/а
2) Записать все числители над наименьшим общем знаменателем АС
(5a + 2a^2 - 5ac^2 - 2c)/ac
Вас заинтересует
1 год назад
2 года назад
2 года назад
3 года назад
8 лет назад