• Предмет: Информатика
  • Автор: maks2262232
  • Вопрос задан 2 года назад

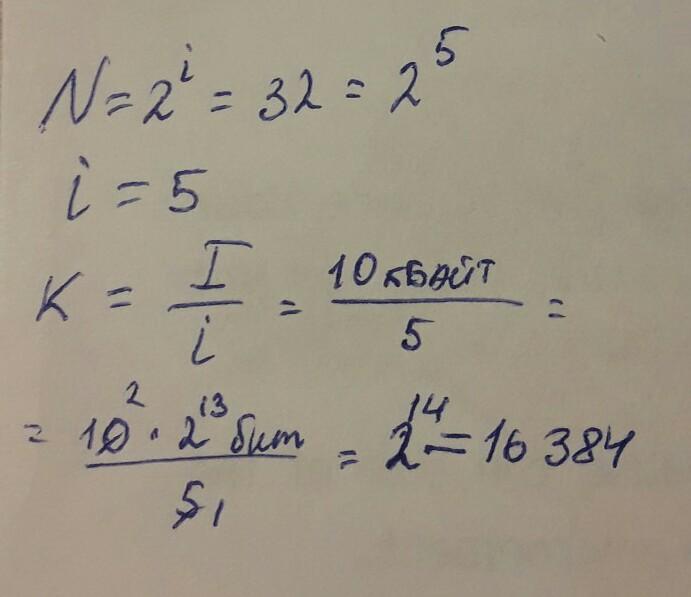
Текст объемом 10Кбайт записан с помощью 32-символьного алфавита.Сколько символов содержит текст?

Ответы

Ответ дал: сок111213
1

Решение на фотографии

Приложения:
Вас заинтересует