• Предмет: Алгебра
  • Автор: jbl22813377
  • Вопрос задан 2 года назад

Помогите срочно пожалуйста СРОЧНО ​

Приложения:

Ответы

Ответ дал: NNNLLL54
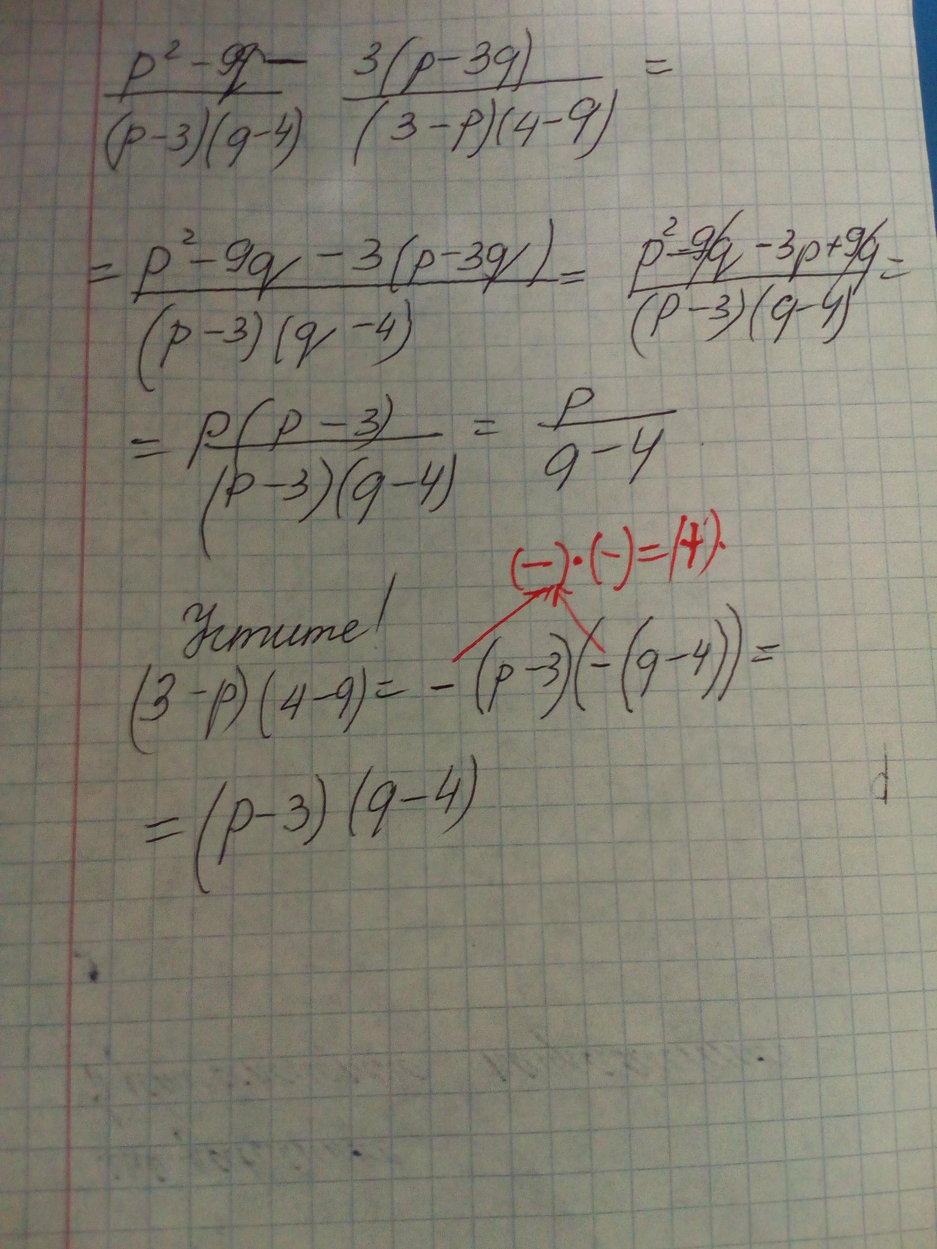
1

\frac{p^2-9q}{(p-3)(q-4)}-\frac{3(p-3q)}{(3-p)(4-q)}=\frac{p^2-9q-3p+9q}{(p-3)(q-4)}=\frac{p^2-3p}{(p-3)(q-4)}=\frac{p(p-3)}{(p-3)(q-4)}=\frac{p}{q-4}

Ответ дал: Аноним
0

Ответ: во вложении= Объяснение:

Приложения:
Вас заинтересует