Пожжалуйста помогите братаны девчонки плиз очень нужно только 5 и 6 помогите от души 10 баллов
Сократите дробь задание
Приложения:

Ответы
Ответ дал:
1
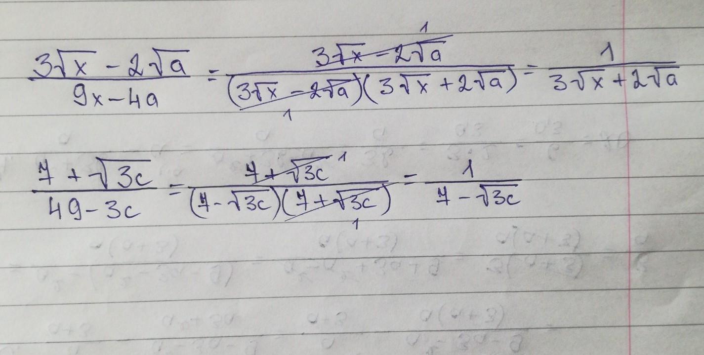
решение на фото.
используется формула :
Приложения:

alishay06:
брат от души спасибо
Ответ дал:
1
Объяснение:
Ответ во вложении))))))
Приложения:

Вас заинтересует
1 год назад
1 год назад
2 года назад
3 года назад
8 лет назад