• Предмет: Алгебра
  • Автор: IMoriAiI
  • Вопрос задан 2 года назад

Помогите пожалуйста решить всю левую часть заданий на листочке

Приложения:

Ответы

Ответ дал: solving05
0

Ответ:

Объяснение:

Решение в приложении

Приложения:

Universalka: 24 - 28 = - 4
solving05: Спасибо
Ответ дал: Universalka
0

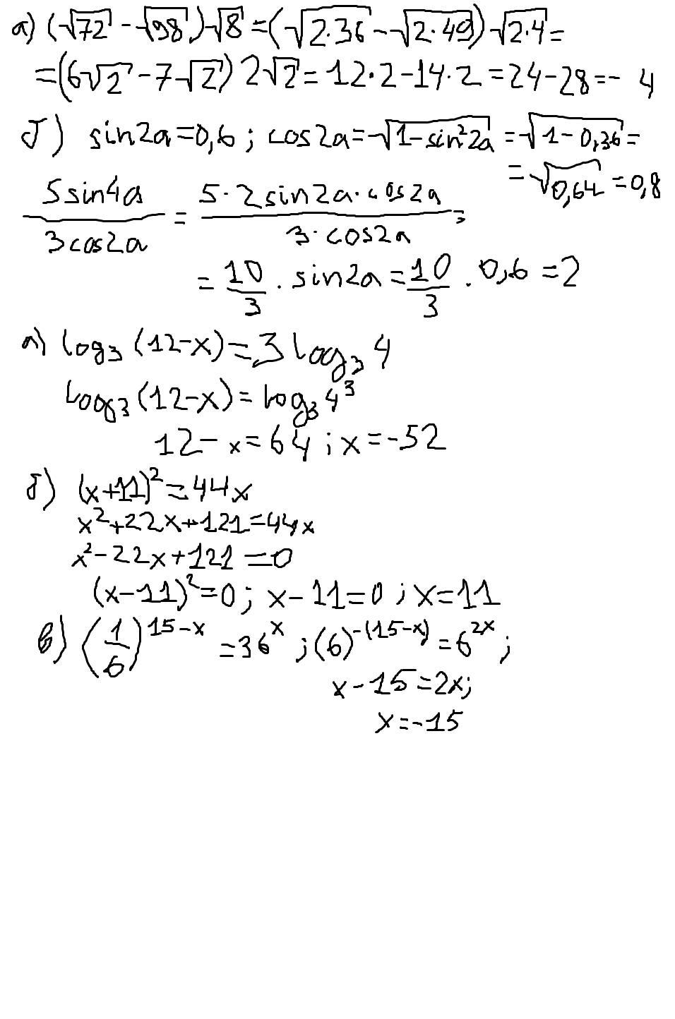
1)(\sqrt{72}-\sqrt{98})*\sqrt{8}=(\sqrt{36*2}-\sqrt{49*2})*\sqrt{4*2}=(6\sqrt{2}-7\sqrt{2})*2\sqrt{2}=-\sqrt{2}*2\sqrt{2}=-4\\\\Otvet:\boxed{-4}

2)\frac{5Sin4\alpha}{3Cos2\alpha}=\frac{5*2Sin2\alpha Cos2\alpha}{3Cos2\alpha}=\frac{10Sin2\alpha}{3}=\frac{10*0,6}{3}=\frac{6}{3}=2\\\\Otvet:\boxed{2}

3) ОДЗ :

12 - x > 0

- x > - 12

x < 12

log_{3}(12-x)=3log_{3}4\\\\log_{3}(12-x)=log_{3}4^{3}\\\\log_{3}(12-x)=log_{3}64\\\\12-x=64\\\\x=12-64=-52\\\\Otvet:\boxed{-52}

4)(x+11)^{2}=44x\\\\x^{2}+22x+121-44x=0\\\\x^{2}-22x+121=0\\\\(x-11)^{2}=0\\\\x-11=0\\\\x=11\\\\Otvet:\boxed{11}

5)(\frac{1}{6})^{15-x}=36^{x}\\\\6^{x-15}=6^{2x}\\\\x-15=2x\\\\x-2x=15\\\\-x=15\\\\x=-15\\\\Otvet:\boxed{-15}

Вас заинтересует