• Предмет: Математика
  • Автор: korbansalexa
  • Вопрос задан 2 года назад

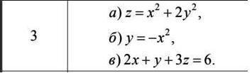
Какие поверхности задаются данным уравнениями? Нарисовать их

Приложения:

Ответы

Ответ дал: fiddllllesticks
1

Ответ:

Пошаговое объяснение:

Заходите на сайт

https://www.kontrolnaya-rabota.ru/s/grafik/3d/?solve=z%3Dx%5E2%2B2*y%5E2&x_bottom=-2.5&x_top=2.5&y_bottom=-2.5&y_top=2.5&z_bottom=-2.5&z_top=2.5&points=90&graph_type=surface

И вводите свои функции (я первую функцию Вас даже ввел).

Яой не одобряю


fiddllllesticks: Вам*
korbansalexa: ахахаха, благодарю
Вас заинтересует