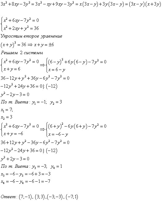
очень прошу (с решением): 1. разложить многочлен на множители 3x^2+8xy-3y^2. 2. решить систему уравнений x^2+6xy-7y^2=0 и x^2+y^2+2xy=36.
Ответы
Ответ дал:
0
Решение смотрите на фото ))
Приложения:

Вас заинтересует
2 года назад
8 лет назад
8 лет назад
10 лет назад