плиииз
5. Скоратите дробь
6. Представьте в виде дроби
7. Найдите значение выражения
8. Упростить выражение
Приложения:

Ответы
Ответ дал:
1
Ответ:
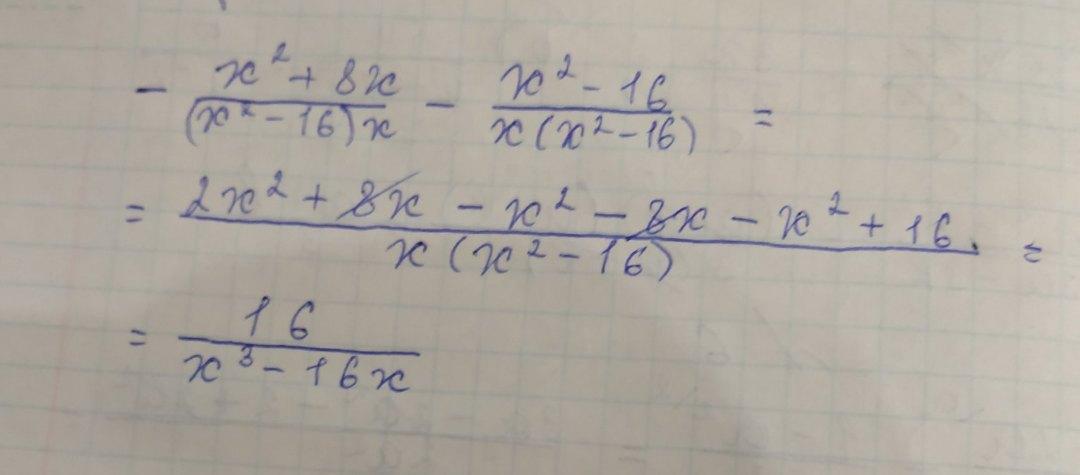
Надеюсь, что мой почерк понятен.
Объяснение:
Приложения:


Вас заинтересует
1 год назад
2 года назад
2 года назад
3 года назад
8 лет назад