• Предмет: Математика
  • Автор: pelimeschka
  • Вопрос задан 2 года назад

Помогите пожалуйста найдите значение выражения дам 15 баллов

Приложения:

Ответы

Ответ дал: tatsach
1

Ответ:

Пошаговое объяснение:

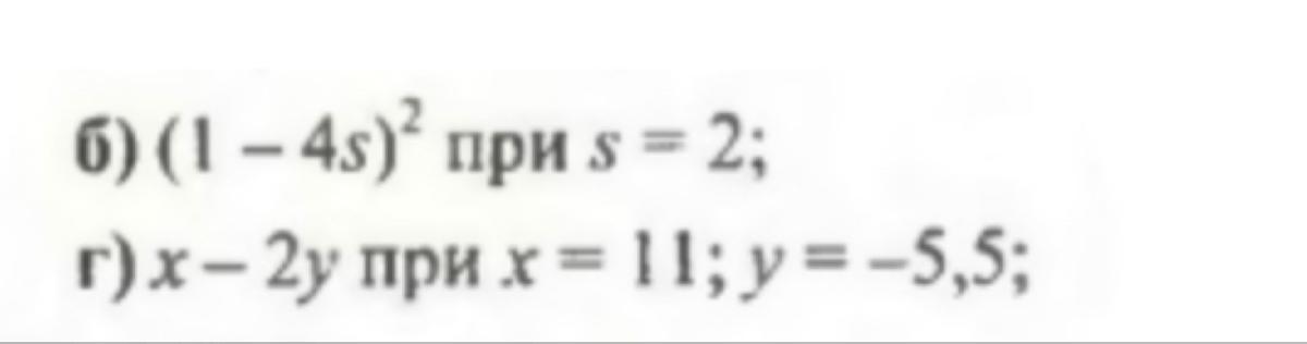
б)=(1-4*2)²=(-7)²=49

в)=11-2*(-5.5)=11+11=22

Ответ дал: nika26vika26
0

Ответ:

(1-4s)^2 при s=2

(1-4•2)^2=(-7)^2=49;

x-2y при х=11, у=-5,5

11-2•(-5,5)= 11+11=22

Пошаговое объяснение:

Вас заинтересует