• Предмет: Алгебра
  • Автор: Hasuni
  • Вопрос задан 11 лет назад

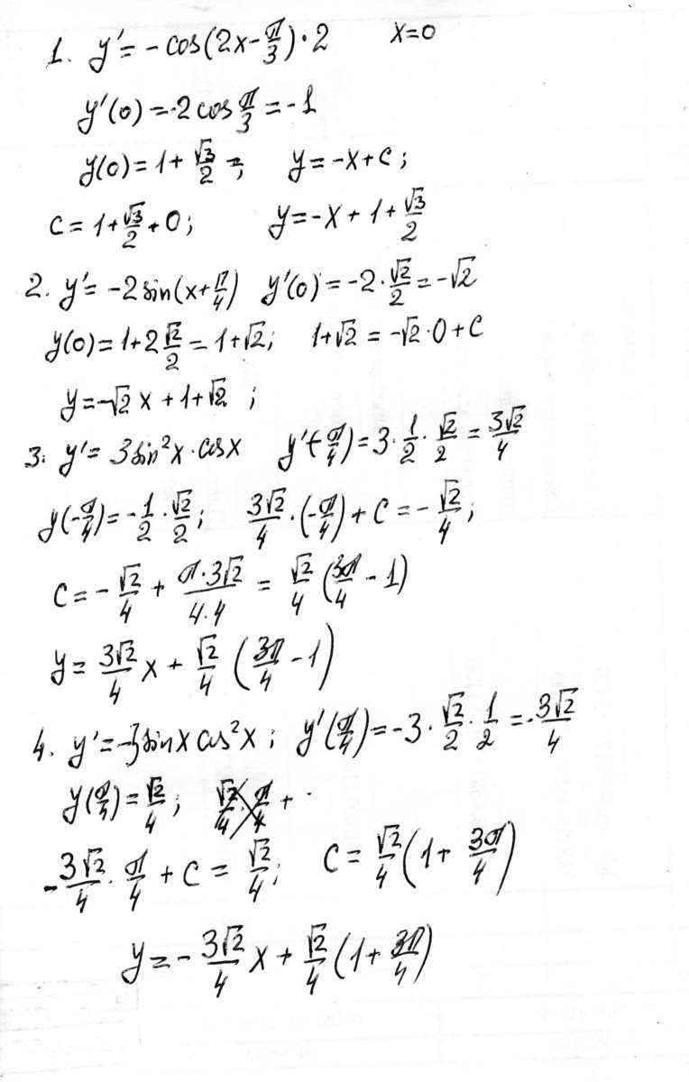
Напишите уравнение касательной к графику функции в точке с абсциссой х=а, если:

1) y= 1-sin(2x- frac{pi}{3})    а=0

2) y= 1+ 2cos(x+frac{pi}{4})    а=0

3) y= sin^3x, a=-frac{pi}{4}

4) y= cos^3x, a=frac{pi}{4}

Ответы

Ответ дал: rskopov
0
                                         Решение:


Смотри вложение:......


Приложения:
Вас заинтересует