• Предмет: Алгебра
  • Автор: FreeFira
  • Вопрос задан 2 года назад

Помагите с домашний работа.На скрине все.​

Приложения:

Ответы

Ответ дал: zakhar7nexus
0

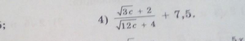
Ответ:

8.

Объяснение:

1) 3с +2 | 2V3c +4 + 15|2

2) V3c +2 | 2 (V3c+2) + 15|2

3) 1|2+15|2 = 8


zakhar7nexus: "V" это галочка
| это черта между знаменателем и числителем
FreeFira: Спасибо
FreeFira: Тебе
Вас заинтересует