Помогите ,пожалуйста, решить! Ответ желательно на листочке,чтобы в дальнейшем я смог разобраться.
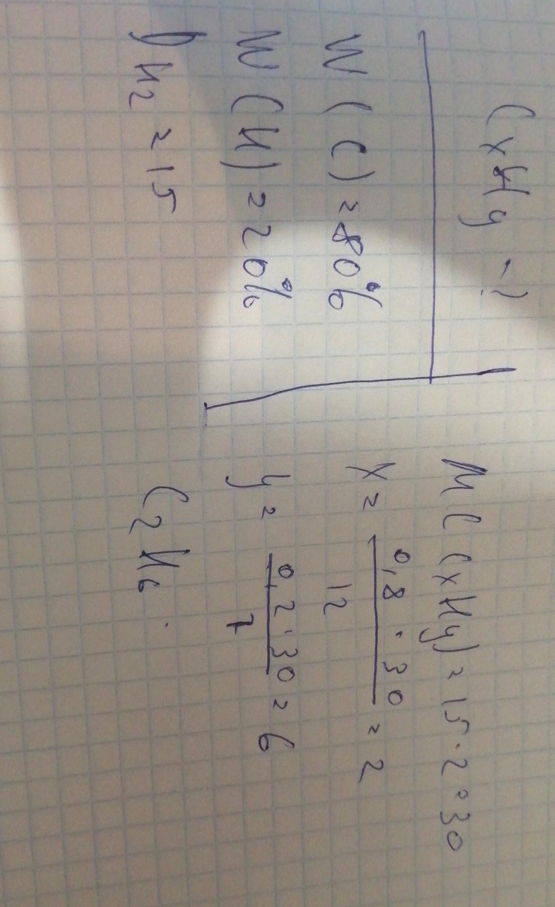
1. Установите молекулярную формулу углеводорода, массовая доля углерода в котром равна 80%. Относительная плотность его паров равна 15.
2. Массовая доля углерода в веществе составляет 45,86%, хлора - 45,22% остальное водород. Относительная плотность этого вещества по воздуху равна 2,707. Выведете молекулярную формулу вещества.
Ответы
Ответ дал:
0
На первом фото - решение второй, на втором фото - решение первой.
Приложения:


macs525:
2 фото получиться вставить?
2. При сжигании 6 г органического вещества образовалось 13,2 г оксида углерода (IV) и 7,2 г воды. Определите молекулярную формулу вещества, если относительная плотность его паров по воздуху равна 2,069.
Вас заинтересует
2 года назад
2 года назад
3 года назад
3 года назад
8 лет назад