• Предмет: Алгебра
  • Автор: hernandez
  • Вопрос задан 2 года назад

Алгебра, помогите сделать, фото ниже.

Приложения:

Ответы

Ответ дал: zinaidazina
1

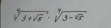
\sqrt[4]{3+\sqrt{5}}*\sqrt[4]{3-\sqrt{5}}=\sqrt[4]{(3+\sqrt{5})*(3-\sqrt{5})}=

=\sqrt[4]{3^2-(\sqrt{5})^2}=\sqrt[4]{9-5}=\sqrt[4]{4}=\sqrt[4]{2^2}=\sqrt{2}

Ответ: √2

Вас заинтересует