• Предмет: Алгебра
  • Автор: dimabenzik7
  • Вопрос задан 2 года назад

Помогите пожалуйста добрые люди срочнл​

Приложения:

Ответы

Ответ дал: NNNLLL54
1

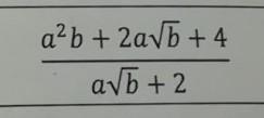
\frac{a^2b+2a\sqrt{b}+4}{a\sqrt{b}+2}=\frac{(a\sqrt{b}+2)^2-2a\sqrt{b}}{a\sqrt{b}+2}=a\sqrt{b}+2-\frac{2a\sqrt{b}}{2\sqrt{b}+2}=

ili\\\\\frac{a^2b+2a\sqrt{b}+4}{a\sqrt{b}+2}=\frac{(a\sqrt{b}-2)(a^2b+2a\sqrt{b}+4)}{(a\sqrt{b}-2)(a\sqrt{b}+2)}=\frac{(a\sqrt{b})^3-2^3}{a^2b-4}=\frac{a^3\sqrt{b^3}-8}{a^2b-4}=\frac{a^3b\sqrt{b}-8}{a^2b-4}


dimabenzik7: а это не полностью
dimabenzik7: а это ты сам решал
NNNLLL54: как это не полностью ?
dimabenzik7: а это точна правильно
NNNLLL54: я тебе 2 варианта решения написала, а ты пишешь, что не полностью...полнее некуда
NNNLLL54: конечно, правильно
dimabenzik7: ок
dimabenzik7: сп
NNNLLL54: и с какой радости нарушение поставил ?
dimabenzik7: извени
Вас заинтересует