• Предмет: Математика
  • Автор: Яташи
  • Вопрос задан 2 года назад

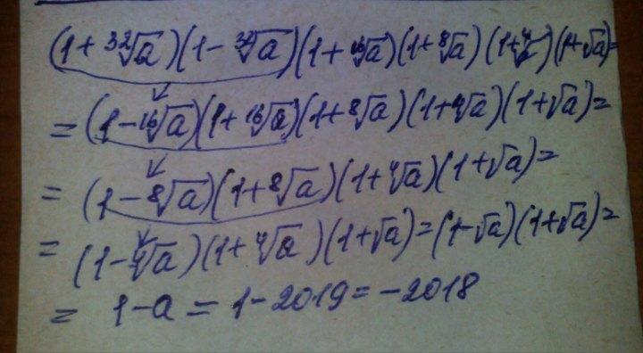
Помогите решить. 15 баллов. Пожалуйста

Приложения:

Ответы

Ответ дал: Ikvaskov
1
Держи..................
Приложения:
Ответ дал: Вероника8
1

Ответ:

Пошаговое объяснение: несколько раз используется формула разности квадратов a² - b² = (a + b)·(a - b)

Приложения:
Вас заинтересует