• Предмет: Алгебра
  • Автор: Регина999999999
  • Вопрос задан 11 лет назад

Прошу вас,помогите мне.

Приложения:

Ответы

Ответ дал: Tangodown
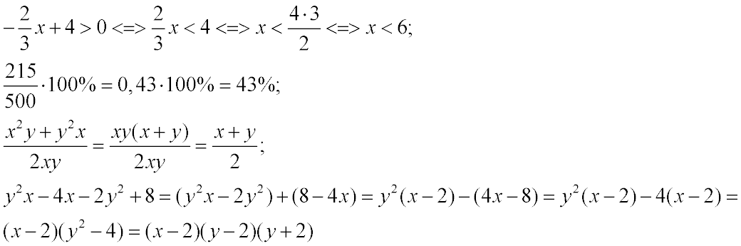
0
Проверь на всякий случай.
6)1
7)2
8)3
Приложения:
Ответ дал: Tangodown
0
Добавил номера ответов
Ответ дал: Регина999999999
0
а поняла,спасибр большое
Ответ дал: prostomama1
0
1) 1 2) 2 3) 3 если хочешь всегда могу помочь

Приложения:
Ответ дал: Регина999999999
0
спасибо огромноеее)))
Вас заинтересует