• Предмет: Химия
  • Автор: kkkuwerwe
  • Вопрос задан 2 года назад

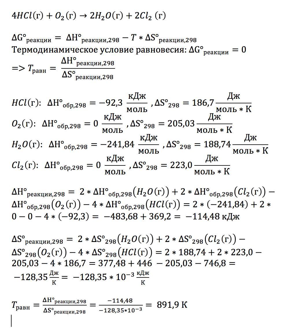
Определите при какой температуре в реакционной системе
4HCl(г) + O2 =2H2O(г) + 2Cl2(г)
наступит состояние термодинамического равновесия.

Ответы

Ответ дал: Nastya808080
2

Ответ:

891,9 К

Объяснение:

Приложения:
Вас заинтересует