Ответы
Ответ дал:
1
Что и требовалось доказать
Ответ дал:
1
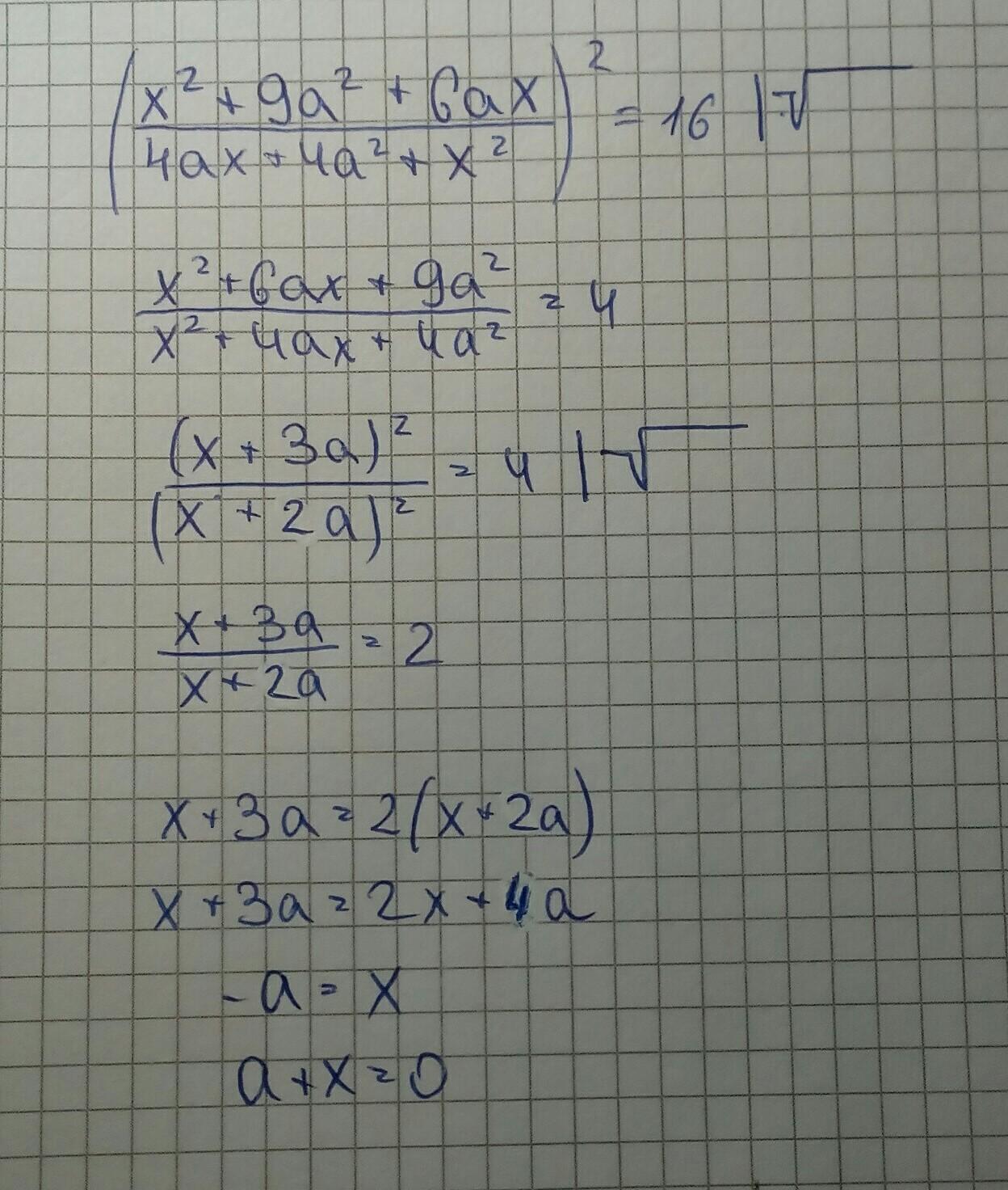
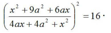
В числителе и знаменателе формулы сокращенного умножения, дальше извлекается корни и решаем уравнение. В итоге приходим к условию, что х+а=0
Приложения:

Вас заинтересует
1 год назад
2 года назад
3 года назад
3 года назад
8 лет назад