• Предмет: Математика
  • Автор: xZoom8
  • Вопрос задан 2 года назад

Математика, решите пожалуйста

Приложения:

Ответы

Ответ дал: dariahaiduchyk
0

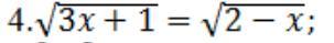
Ответ:3x+1=2-x

3x+x=2-1

4x=2-1

4x=1

X=1÷4

X=дробом 1

_

4

Пошаговое объяснение:

Вас заинтересует